2025-04-16 15:42:01 来源:勒克斯教育网
2025年高职单招《数学(中职)》每日一练试题04月16日,可以帮助我们积累知识点和做题经验,进而提升做题速度。通过高职单招每日一练的积累,助力我们更容易取得最后的成功。
单选题
1、如图,已知正方体 ABCD-A1B1C1D1的体积为1,M,N分别是棱A1D1,AB 的中点,则三棱锥M-ANC的体积为()




答 案:D
解 析:易知正方体 ABCD - A1B1C1D1的棱长为1.由题意知三棱锥 M-ANC的高为1,底面三角形 ANC的面积为
,所以三棱锥M-ANC的体积
2、下列选项中,与α=-30°终边相同的角是()
答 案:D
解 析:与α=-30°终边相同的角表示为θ=-30°+360°·k,k∈Z,当k=1时,θ=330°,所以330°角与α的终边相同.经检验选项A,B,C均不符合题意.
3、若
有意义,则x的取值范围是()
答 案:D
解 析:


主观题
1、已知
答 案:方法一:矢量图表示法 矢量图表示法如图所示。
方法二:矢量表示法
解 析:


填空题
1、函数f(x)=sin(x+φ)-2sinφcosx的最大值为____________
答 案:1
解 析:f(x)=sinxcosφ+cosxsinφ-2sinφcosx =sinxcosφ-cosxsinφ =sin(x-φ)≤1, 故函数f(x)=sin(x+φ)-2sinφcosx的最大值为1
2、
()
答 案:
解 析:
3、某高中学校三个年级共有学生2000名.若在全校学生中随机抽取一名学生,抽到高二年级女生的概率为 0.19,则高二年级的女生人数为()
答 案:380
解 析:易得高二年级的女生人数为2000x0.19=380.
简答题
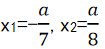
1、解关于x的不等式56x2+ax2
答 案:解:将所求不等式转化为56x2+ax-a2<0
令56x2+ax-a2=0,得
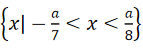
当a>0时,所求不等式的解集为
当a<0时,所求不等式的解集为