2025-09-16 15:37:46 来源:勒克斯教育网
2025年高职单招《数学(中职)》每日一练试题09月16日,可以帮助我们积累知识点和做题经验,进而提升做题速度。通过高职单招每日一练的积累,助力我们更容易取得最后的成功。
单选题
1、下列函数在其定义域内单调递增的是()




答 案:C
解 析:


2、若等差数列{an}的前n项和Sn=n2+a(a∈R),则a=()
答 案:D
解 析:设等差数列{an}的公差为d.由题意得
所以a=0.
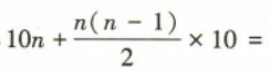
3、某同学利用寒假在工厂勤工俭学,共收入1200元,第一天收入10元,之后由于技术熟练,从第2天起每天的收入都比前一天多10元,该同学一共工作的天数是()
答 案:B
解 析:记第n天的收入为an,则数列{an}是以10为首项,10为公差的等差数列.由题意得
1200,解得n=15或n=-16(舍去),故该同学一共工作了15天.
主观题
1、已知
答 案:方法一:矢量图表示法 矢量图表示法如图所示。
方法二:矢量表示法
解 析:


填空题
1、设一组样本数据 x1,x2,…,x8的方差为 6,则数据 3x1+1,3x2+1,…,3x8+1的方差是()
答 案:54
解 析:设x1,x2,…,x8的平均数为
,则
且
48,故 3x1+1,3x2+1,…,3x8+1的平均数为
方差为

2、正方体ABCD-A1B1C1D1中AC与AC1所成角的正弦值为=__________.
答 案:
解 析:由于CC1=1,AC1=√3 ,所以角AC1C的正弦值为
3、已知
()
答 案:
解 析:



简答题
1、己知x∈(1,10),A=lg2x,B=lgx2,证明:A
答 案:证明:考虑对数函数y=lgx, 当 x∈(1,10)时,y∈(0,1) A-B = lg2 x-lgx2 = lgx·lgx-2lgx = lgx(lgx-2) ∵lgx ∈ (0,1) ∴lgx-2<0 A-B <0 ∴A