2025年高职单招每日一练《生物》12月16日

考试总分:10分

考试类型:模拟试题

作答时间:60分钟

已答人数:147

试卷答案:有

试卷介绍: 2025年高职单招每日一练《生物》12月16日专为备考2025年生物考生准备,帮助考生通过每日坚持练习,逐步提升考试成绩。

开始答题

试卷预览

  • 1. 使用一次性塑料袋对环境几乎没有影响。()

    A

    B

  • 2. 微生物的选择培养需要设置对照组来判断选择培养基是否起到了选择作用。()

    A

    B

  • 1. 细胞的全能性是指()  

    A细胞具有各项生理功能

    B已分化的细胞全部能再进一步分化

    C已分化的细胞能恢复到分化前的状态

    D已分化的细胞仍具有发育成完整个体的潜能

  • 2. 冬美人是厚车莲属的多肉植物,一般用叶插法进行繁殖。为研究外源激素对冬美人叶插的影响,分别用不同浓度的α-萘乙酸(NAA)、吲哚乙酸(IAA)和2,4-D对冬美人叶片进行处理,结果如下表: 依据实验结果,下列说法错误的是(    )  

    A实验浓度下,2,4-D对冬美人生长具有抑制效应

    BNAA对冬美人发芽的影响表现出两重性

    C.IAA促进冬美人叶插发芽的最适浓度应在0g/L一025g/之间

    D表中数据并未显示出3种物质都对冬美人叶插生根的促进作用

  • 1. 气候变化可能带来的影响有()  

    A极端天气事件增多

    B海平面上升

    C水资源分布改变

    D生物多样性减少

    E全球平均气温下降

  • 2.  “醉氧”(也称低原反应)是指长期在高海拔地区工作的人,重返平原居住后会再次发生不适应,从而出现疲倦、无力、嗜睡、胸闷、头昏、腹泻等症状。下列叙述正确的是(    )  

    A与血红蛋白、血浆蛋白一样,氧气也是内环境的组成成分

    B“醉氧”是外界环境的变化导致内环境的化学成分发生了变化

    C患者发生严重腹泻后,补充水分的同时要注意补充无机盐

    D“醉氧”说明内环境稳态是机体进行正常生命活动的必要条件

  • 1. 研究发现,正在生长的植物细胞具有“酸生长”特性,即pH为4~5的溶液促进细胞伸长生长。为了研究这一现象的内在原因,研究者用黄瓜幼苗快速生长的下胚轴切段进行实验,实验操作及结果如下图所示。请回答下列问题:     (1)多细胞植物体的伸长生长是细胞数量和     (或)增加的结果。 (2)如图1所示,研究者通过冰冻融化去除下胚轴切段中的原生质体仅剩细胞壁,经这种处理后的下胚轴切段称为Y。由图1可知,对Y进行的实验处理为     。 (3)图2结果表明,Y的特性是    ;决定这种特性的物质最可能是    (填“纤维素“果胶”或“蛋白质”)。 (4)研究者发现生长素可通过诱导细胞膜外环境的pH降低,促进细胞生长。已知植物细胞膜上有H+泵、水通道蛋白、生长素受体、钾通道蛋白、蔗糖运载体等。在上述实验结果的基础上,请根据已知信息,提出生长素促进细胞生长的一种可能机制:      。 (5)请从植物激素之间相互作用的角度解释生长素具有高浓度抑制现象的原因。      。  
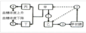
  • 2. 如图为人体生命活动调节的部分途径示意图,其中甲~丁代表器官或细胞,①~⑤代表激素。请据图回答下列问题。 (1)甲代表的器官是________,从调节方式角度分析,甲对乙的调节与对丙、丁的调节的不同点是_________。 (2)①代表_______激素,它能特异性作用于细胞的原因是_________________________________。 (3)饭后,正常人胰静脉血液中明显增多的激素是_______(填序号),④、⑤两种激素在调节血糖方面的关系是___________关系。 (4)③的分泌调节要经过“甲→乙→甲状腺”这一途径,这种激素的分泌调节机制称为_______调节。  
  • 1. 福橘是我国的传统名果,科研人员以航天搭载的福橘茎尖为材料进行了研究。请回答问题: (1)福橘茎尖经组织培养后可形成完整的植株,原因是植物细胞具有()性。此过程发生了细胞的增殖和() (2)为探索航天搭载对细胞有丝分裂的影响,科研人员对组织培养的福橘茎尖细胞进行显微观察。 ①制作茎尖临时装片需要经过()、漂洗、染色和制片等步骤。 ②观察时拍摄的两幅显微照片如图所示。照片a和b中的细胞分别处于有丝分裂的()期和后期。正常情况下,染色体的着丝粒排列在细胞中央的一个平面上,之后着丝粒分裂,()分开,成为两条染色体,分别移向两极。 ③图中箭头所指位置出现了落后的染色体。有丝分裂过程中,染色体在()的牵引下运动,平均分配到细胞两极,落后染色体的出现很可能是其结构异常导致的。 (3)研究人员发现,变异后的细胞常会出现染色质凝集等现象,最终自动死亡,这种现象称为细胞()。因此,若要保留更多的变异类型,还需进一步探索适当的方法。
  • 2. 罗非鱼是一种高蛋白、低脂肪、肉质鲜美的食用鱼类。为使罗非鱼肉在蒸煮过程中保持良好的品质和营养价值,研究者通过实验探寻了合适的热加工条件。请回答问题: (1)鱼肉中含有丰富的蛋白质,其基本组成单位是(),进入人体细胞后,在()(填写细胞器名称)合成自身的蛋白质。 (2)鱼肉在热加工过程中,会发生汁液流失导致质量减少。研究者测定了在不同()条件下的蒸煮损失率,结果如下图。 据图可知,蒸煮温度控制在()℃或90℃较好,依据是在这两个温度条件下,() (3)进一步研究发现,鱼肉在热加工过程中,肌原纤维蛋白的巯基含量在50℃以上开始下降,这是蛋白质的()发生改变,巯基暴露氧化为二硫键所致。80℃以上短时蒸煮,肌原纤维蛋白会迅速变性,鱼肉质地更紧密,口感更好。 (4)综合本实验研究,你认为合理的罗非鱼热加工条件及理由是()