2025年高职单招每日一练《生物》12月4日

考试总分:10分

考试类型:模拟试题

作答时间:60分钟

已答人数:1631

试卷答案:有

试卷介绍: 2025年高职单招每日一练《生物》12月4日专为备考2025年生物考生准备,帮助考生通过每日坚持练习,逐步提升考试成绩。

开始答题

试卷预览

  • 1. 作物脱毒时常选取的部位是叶肉细胞。  

    A

    B

  • 2. 测定不同微生物数量时,接种的土壤悬浮液的稀释度相同()

    A

    B

  • 1. 如图为实验室培养和纯化大肠杆菌过程中的部分操作步骤,下列说法错误的是()  

    A①②③步骤操作时需要在酒精灯火焰旁进行

    B步骤①中待倒入的培养基冷却后盖上培养皿的皿盖

    C步骤③中,每次划线前后都需对接种环进行灼烧处理

    D划线接种结束后,将图④平板倒置后放入培养箱中培养

  • 2. 下丘脑在机体稳态调节中发挥着重要作用,下列相关叙述正确的是()  

    A下丘脑渗透压感受器产生的兴奋传导至脑干,使人产生渴觉

    B下丘脑的渗透压感受器可直接感受细胞内液渗透压的变化

    C下丘脑有体温调节、血糖平衡调节和水盐平衡调节的中枢

    D下丘脑在外界环境温度降低时分泌TSH作用于垂体

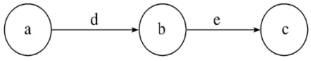
  • 1. 下面表示人体生命活动调节机制的模式图,有关叙述错误的是()  

    A若该图表示反射弧,则d表示传出神经

    B若该图表示生命活动所需物质的运输过程,则a,b,c分别表示外界环境、内环境和细胞

    C若该图表示甲状腺激素分泌的分级调节,则e代表促甲状腺激素释放激素

    D若该图表示血糖的神经―体液调节途径,则a表示下丘脑,d、b、e、c分别表示有关神经、胰 岛﹑胰岛素或胰高血糖素、靶细胞或靶器官

  • 2. 在神经元中,线粒体在轴突方向的长距离运输需要以细胞骨架为轨道,并依赖马达蛋白进行拖运,将线粒体与马达蛋白相连的是衔接蛋白。活跃的神经元中马达蛋白多向突触小体运输线粒体,衰老的神经元中马达蛋白则多向细胞体运输线粒体。下列说法正确的是( )  

    A细胞骨架是细胞内以纤维素为主要成分的网架结构

    B衔接蛋白功能缺失会改变线粒体在神经元中的分布

    C细胞骨架不仅为线粒体运输提供机械支撑,还与轴突的构建有关

    D在衰老的神经元中,线粒体移向细胞体可能与细胞自噬加强有关

  • 1. 乳糖酶能够催化乳糖水解为葡萄糖和半乳糖在工业生产中具有重要价值。乳糖酶的制备及固定化步骤如图。回答下列问题: (1)筛选产乳糖酶的微生物L时,培养基中的唯一碳源应该是______,在实验室培养微生物L时,一方面需要为L提供合适的营养和环境条件,另一方面需要______,以获得纯净的培养物。 (2)将微生物L研磨破碎得到提取液后,可采用凝胶色谱法分离纯化其中的乳糖酶分离过程中,比乳糖酶相对分子质量小的蛋白质,在凝胶中的移动速度比乳糖酶______(填“快”或“慢”),原因是______。 (3)工业生产中,若要将乳糖酶固定化,一般______(填“适宜”或“不适宜”)采用包埋法原因是______,与使用游离酶相比,工业生产中使用固定化酶的优点是______。
  • 2. 培养胡萝卜根组织可获得试管苗,获得试管苗的过程如图所示。 回答下列问题。 (1)利用胡萝卜根段进行组织培养可以形成试管苗。用分化的植物细胞可以培养成完整的植株,这是因为植物细胞具有__________。 (2)步骤③切取的组织块中要带有形成层,原因是____________。 (3)从步骤⑤到步骤⑥需要更换新的培养基,其原因是____________。在新的培养基上愈伤组织通过细胞的____________过程,最终可形成试管苗。 (4)步骤⑥要进行照光培养,其作用是____________。 (5)经组织培养得到的植株,一般可保持原品种的__________,这种繁殖方式属于____________繁殖。
  • 1. 醋酸菌是一种()细菌。醋酸生成反应式是()。  
  • 2. 带鱼加工过程中产生的下脚料富含优质蛋白,随意丢弃不仅浪费资源,还会污染环境。利用木瓜蛋白酶处理,可以变废为宝。请回答问题: (1)木瓜蛋白酶可将下脚料中的蛋白质分解为多肽,但不能进一步将多肽分解为氨基酸,说明酶具有()性。 (2)为确定木瓜蛋白酶的最适用量和最适pH,研究人员进行了相关实验,结果如下图。 据图分析,木瓜蛋白酶添加量应为()%,pH应为(),偏酸、偏碱使酶解度降低的原因可能是() (3)若要探究木瓜蛋白酶的最适温度,实验的基本思路是()