2025-12-07 15:51:03 来源:勒克斯教育网
2025年高职单招《数学(中职)》每日一练试题12月07日,可以帮助我们积累知识点和做题经验,进而提升做题速度。通过高职单招每日一练的积累,助力我们更容易取得最后的成功。
单选题
1、一道数学试题,甲、乙两位同学独立完成,设命题p是“甲同学解出试题”,命题q是“乙同学解出试题”,则命题“至少一位同学解出试题”可表示为()




答 案:D
解 析:“至少一位同学解出试题”即“甲同学解出试题或乙同学解出试题”,所以命题“至少一位同学解出试题”可表示为p∨q.
2、在△ABC中,
()




答 案:C
解 析:因为
,所以
,所以

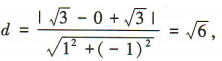
3、若直线
与圆x²+y²-2y=0相切,则实数m的值为()

答 案:A
解 析:x²+y²-2y=0可化为x²+(y-1)²=1,故圆的圆心为(0,1),半径为1,则圆心到直线即
,即
的距离
,解得m=3或m=-1.
主观题
1、已知
答 案:方法一:矢量图表示法 矢量图表示法如图所示。
方法二:矢量表示法
解 析:


填空题
1、在△ABC中,内角A,B,C的对边分别为a,b,c,且a=3,b=2,A=60°. (1)求sinB; (2)求△ABC的面积
答 案:






2、若向量a=(-2,1),b=(1,3),c=a+2b,则c=()
答 案:(0,7)
解 析:由a=(-2,1),b=(1,3),得c=a+2b=(0,7).
3、若
则a,b,c从小到大的顺序为()
答 案:
解 析:


简答题
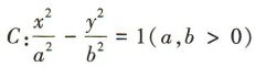
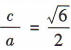
1、已知双曲线
的离心率为
,左、右焦点分别为F1,F2,且|F1F2|=
(1)求双曲线C的方程;
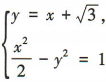
(2)设直线
与双曲线C交于M,N两点,求△MNF2的面积.
答 案:(1)由
可知焦距
,即
因为双曲线C的离心率为
所以
,解得
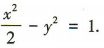
所以b2=c2-a2=1,
故双曲线C的方程为
(2)易知
,设M(x1,y1),N(x2,y2).
由
得
所以
所以
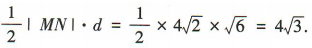
因为F2到直线 MN的距离
所以△MNF2的面积为