2025-05-12 15:42:20 来源:勒克斯教育网
2025年高职单招《数学(中职)》每日一练试题05月12日,可以帮助我们积累知识点和做题经验,进而提升做题速度。通过高职单招每日一练的积累,助力我们更容易取得最后的成功。
单选题
1、双曲线
的焦点坐标是()
答 案:A
解 析:在双曲线
中.
,b=1,
,所以双曲线
的焦点坐标为(2,0),(-2,0).
2、在等差数列{an}中,若a2=3,a5=6,则a8=()
答 案:D
解 析:易知等差数列{an}的公差
所以a8=a5+(8-5)d=6+3=9.
3、函数f(x)=x|x|的图像()
答 案:A
解 析:由f(-x)=-x|-x|=-x|x|=-f(x),且函数f(x)的定义域为R可知f(x)是奇函数,其图像关于原点对称.
主观题
1、已知
答 案:方法一:矢量图表示法 矢量图表示法如图所示。
方法二:矢量表示法
解 析:


填空题
1、已知方程
表示焦点在y轴上的椭圆,则实数m的取值范围是()
答 案:(-6,-1)
解 析:因为方程 2、函数 答 案: 解 析: 3、已知集合 答 案:{0,2} 解 析: 简答题 1、已知函数f(x)= 答 案:解:(1)由题意可知:
表示焦点在y轴上的椭圆,所以
解得 -6
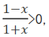
的定义域为()





(a>0,且a≠1)
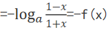
(1) 求函数f(x)的定义域;
(2) 判断函数f(x)的奇偶性,并说明理由.
解得:-1
∴函数f(x)为奇函数