2025-09-11 15:41:04 来源:勒克斯教育网
2025年高职单招《数学(中职)》每日一练试题09月11日,可以帮助我们积累知识点和做题经验,进而提升做题速度。通过高职单招每日一练的积累,助力我们更容易取得最后的成功。
单选题
1、已知函数f(x)是定义在R上的奇函数,当x∈(-0,0)时,f(x)=2x³+x²,则f(2)=()
答 案:B
解 析:因为当x∈(-∞,0)时,f(x)=2x3+x2,所以f(-2)=2×(-2)3+(-2)2=-12.又f(x)是定义在R上的奇函数,所以f(2)=-f(-2)=-(-12)=12.
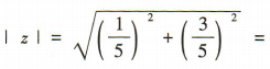
2、若复数
,则|z|=()




答 案:A
解 析:易得
所以

3、已知等比数列{an}中,a4=2,则a1a2·......·a7=()
答 案:C
解 析:

主观题
1、已知
答 案:方法一:矢量图表示法 矢量图表示法如图所示。
方法二:矢量表示法
解 析:


填空题
1、已知数据x,8,y的平均数为8,则数据9,5,x,y,15 的平均数为()
答 案:9
解 析:因为x,8,y的平均数为8,所以
,解得x+y= 16. 所以数据 9,5,x,y,15 的平均数为
2、若函数f(x)=4+log2x在区间[1,a]上的最大值为6,则a=()
答 案:4
解 析:因为函数f(x)=4+log2x在区间[1,a]上单调递增,所以f(x)max=f(a)=4+log2a=6,解得a=4
3、某班有 48 名学生,若任选一人是女生的概率是
,则这个班的男生人数是()
答 案:28
解 析:设这个班的男生人数是x,则这个班的女生人数是48-x. 由题意知
,解得x=28,所以这个班的男生人数是 28.
简答题
1、若集合
,写出集合A的所有子集.
答 案:易得A={1,5} 故A的所有子集为∅,{1},[5},{1,5}