2025-09-28 15:48:36 来源:勒克斯教育网
2025年高职单招《数学(中职)》每日一练试题09月28日,可以帮助我们积累知识点和做题经验,进而提升做题速度。通过高职单招每日一练的积累,助力我们更容易取得最后的成功。
单选题
1、函数
的最大值为()


答 案:B
解 析:易知
.因为
,所以函数
的最大值为2.
2、若直线mx+4y-2=0与直线2x-5y-12=0垂直,则实数m的取值为()
答 案:D
解 析:易知直线mx+4y-2=0,即
的斜率为
直线2x-5y-12=0,即
的斜率为
因为两直线垂直,所以
解得m=10。
3、下列函数是偶函数的是()
答 案:D
解 析:函数y=1gx,y=2x为非奇非偶函数,函数y=x³为奇函数,函数y=cosx为偶函数,故D符合题意。
主观题
1、已知
答 案:方法一:矢量图表示法 矢量图表示法如图所示。
方法二:矢量表示法
解 析:


填空题
1、已知函数f(x)=2x-m在[0,2]上的最小值为2,则f(m)=()
答 案:
解 析:


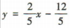
2、已知f(x)是一次函数,且其图像过点A(-2,0),B(1,5),则f(x)=()
答 案:
解 析:

3、计算
()
答 案:
解 析:

简答题
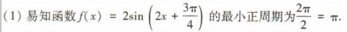
1、已知函数,求: (1)f(x)的最小正周期; (2)f(x)取得最大值时,自变量x的集合.
答 案:



