2025-07-28 15:19:25 来源:勒克斯教育网
2025年高职单招《数学(中职)》每日一练试题07月28日,可以帮助我们积累知识点和做题经验,进而提升做题速度。通过高职单招每日一练的积累,助力我们更容易取得最后的成功。
单选题
1、如图,在△ABC中,
()




答 案:A
解 析:

2、函数y=sinx
的取值范围是()




答 案:B
解 析:



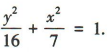
3、已知椭圆的两个焦点的坐标分别是(0,-3)和(0,3),且椭圆经过点(0,4),则该椭圆的标准方程是()




答 案:B
解 析:易得椭圆的焦点在y轴上,可设它的标准方程为
∵椭圆经过点(0,4),∴a=4.又c=3,∴b²=a²-c²=16-9=7,故所求椭圆的标准方程
主观题
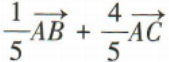
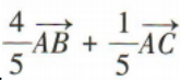
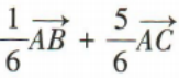
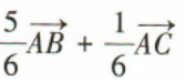
1、已知
答 案:方法一:矢量图表示法 矢量图表示法如图所示。
方法二:矢量表示法
解 析:


填空题
1、若椭圆上一点到两焦点F1(-2,0),F2(2,0)的距离之和为8,则该椭圆的短轴长为()
答 案:
解 析:由题知c= 2,2a=8,即a=4,故b2=a2-c2=12,得
,所以该椭圆的短轴长为
2、已知3和k的等差中项是2k,则实数k的值是()
答 案:1
解 析:
3、如图,在正方体ABCD-A1B1C1D1中,M,N分别为棱C1D1,C1C的中点,则以下四个结论正确的是().(填写正确结论的编号)① 直线 AM 与CC1是相交直线;②直线 AM 与 BN 是平行直线;③ 直线 BN 与MB1是异面直线;④ 直线 AM 与DD1是异面直线.
答 案:③④
解 析:易知A,M,C1均在平面AD1C1B中,但
所以直线AM与 CC1是异面直线.同理,AM 与 BN是异面直线,BN与 MB1是异面直线,AM 与 DD1是异面直线,故 ①② 错误,③④ 正确.
简答题
1、已知二次函数f(x)=x2+2mx+16.
(1)若二次函数f(x)的图像恒在x轴的上方,求m的取值范围;
(2)若
求m的取值范围
答 案:



