2025-11-20 16:07:53 来源:勒克斯教育网
2025年高职单招《数学(中职)》每日一练试题11月20日,可以帮助我们积累知识点和做题经验,进而提升做题速度。通过高职单招每日一练的积累,助力我们更容易取得最后的成功。
单选题
1、函数
是()




答 案:A
解 析:

2、已知向量a=(2,0),b=(1,1),则()

答 案:C
解 析:





3、sin70°sin10°+cos10°cos70°=()




答 案:A
解 析:
主观题
1、已知
答 案:方法一:矢量图表示法 矢量图表示法如图所示。
方法二:矢量表示法
解 析:


填空题
1、已知直线 l:x+y-3=0,圆C:(x-1)2+(y+2)2=2,则圆C上的点到l距离的最大值为()
答 案:
解 析:易得圆C:(x-1)2+(y+2)2=2的圆心为(1,-2),半径为
,所以圆心C到直线x+y-3=0的距离
,所以直线l与圆 C相离,所以圆 C上的点到l距离的最大值为
2、在△ABC中,内角A,B,C的对边分别是a,b,c,若A=60°
,,则
等于()
答 案:2
解 析:

3、设
则a,b,c的大小关系为.(用“<”连接)
答 案:
解 析:



简答题
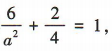
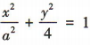
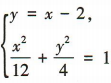
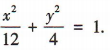
1、已知椭圆
过点(0,2),
(1)求椭圆C的方程;(2)若直线l:y=x-2交椭圆C于A,B两点,O是坐标原点,求 △AOB 的面积 S.
答 案:(1)因为椭圆
经过点(0,2),
所以b= 2.
将点
代入方程
,得
所以
所以椭圆C的方程为
(2)由
得x2-3x =0,解得
或
不妨设 A(0,-2),B(3,1),
所以