2025-10-20 15:57:05 来源:勒克斯教育网
2025年高职单招《数学(中职)》每日一练试题10月20日,可以帮助我们积累知识点和做题经验,进而提升做题速度。通过高职单招每日一练的积累,助力我们更容易取得最后的成功。
单选题
1、某高校共有学生12000人,为了解该校学生体育运动情况,随机抽取600名学生,调查他们的每周平均体育运动时间(单位:时),根据调查情况绘制频率分布直方图(如图).其中样本数据分组区间为[0,2),[2,4),[4,6),[6,8),[8,10),[10,12].估计该校学生每周平均体育运动时间少于4小时的人数是()
答 案:B
解 析:由题图可知,该校学生每周平均体育运动时间少于4小时的频率为(0.025+0.1)×2=0.25,所以该校学生每周平均体育运动时间少于4小时的人数为12000×0.25=3000.
2、如图,四边形ABCD为空间四边形,E,F分别是AB,AD的中点,G,H分别是BC,CD上的点,且
,则直线FH与直线EG的位置关系为()
答 案:B
解 析:如图,连接EF,GH.∵四边形ABCD是空间四边形,E,F分别是AB,AD的中点,∴EF为△ABD的中位线,∴EF//BD且
在△BCD中,
,∴HG//BD且
,∴EF//HG,即E,F,G,H四点共面,且EF≠HG,∴四边形EFHC是梯形,∴直线FH与直线EG相交。
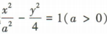
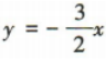
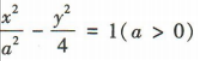
3、若直线3x+2y=0是双曲线
的一条渐近线,则实数a的值为()



答 案:C
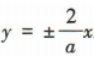
解 析:易知双曲线
的渐近线方程为
因为直线3x+2y=0即
是双曲线的一条渐近线,所以
解得
主观题
1、已知
答 案:方法一:矢量图表示法 矢量图表示法如图所示。
方法二:矢量表示法
解 析:


填空题
1、在
的展开式中,x5的系数是()
答 案:-7
解 析:
的展开式的通项
令7-2k=5,得k=1,故x5的系数为
2、等比数列{an}中,a1=1,a2a5=8a1a3,则a3=()
答 案:4
解 析:

3、若函数
则
= _______
答 案:1
解 析:解法一:
由
得
∴
解法二:
由
得x=1
∴
简答题
1、已知
,求
的值.
答 案:令x=2得
令x=0得
所以