2025-11-12 16:06:05 来源:勒克斯教育网
2025年高职单招《数学(中职)》每日一练试题11月12日,可以帮助我们积累知识点和做题经验,进而提升做题速度。通过高职单招每日一练的积累,助力我们更容易取得最后的成功。
单选题
1、若 △AOB 的三个顶点坐标分别为A(4,0),B(0,-2),O(0,0),则 △AOB 外接圆的圆心坐标为()
答 案:A
解 析:因为A(4,0),B(0,-2),O(0,0),所以△AOB是直角三角形,且
,所以△AOB外接圆的圆心是线段 AB 的中点,所以△AOB外接圆的圆心坐标为
2、已知点A(1,-3)B(-1,3),则直线AB的斜率是()


答 案:B
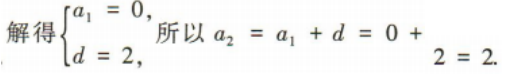
3、已知等差数列{an}的前n项和为S,且a3=4,S6=30,则a2=()
答 案:B
解 析:

主观题
1、已知
答 案:方法一:矢量图表示法 矢量图表示法如图所示。
方法二:矢量表示法
解 析:


填空题
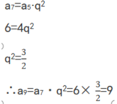
1、在等比数列{an}中,a5=4,a7=6,则a9=()
答 案:9
解 析:
2、已知数据x,8,y的平均数为8,则数据9,5,x,y,15 的平均数为()
答 案:9
解 析:因为x,8,y的平均数为8,所以
,解得x+y= 16. 所以数据 9,5,x,y,15 的平均数为
3、从1,2,3,4这些数字中任取两个不同的数,则可以组成不同的两位数的个数为()
答 案:12
解 析:从1,2,3,4这四个数字中任取两个不同的数,可以组成不同的两位数的个数为
简答题
1、如图,已知O(0,0),A(8,0),B(0,6),点P,Q分别为线段OA,OB上的动点,且
(1)写出△OPQ的面积y与x之间的函数解析式;
(2)当x为何值时,四边形ABQP的面积等于△OPQ的面积?
答 案:




