2025-11-07 16:06:57 来源:勒克斯教育网
2025年高职单招《数学(中职)》每日一练试题11月07日,可以帮助我们积累知识点和做题经验,进而提升做题速度。通过高职单招每日一练的积累,助力我们更容易取得最后的成功。
单选题
1、抛物线y=4x²的焦点坐标是()


答 案:D
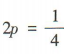
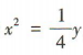
解 析:易知抛物线y=4x²的标准方程为
,所以
,即
,所以抛物线的焦点坐标为
.
2、过圆x2+y2-2x-8=0的圆心,且与直线x+2y=0垂直的直线方程是()
答 案:D
解 析:因为x2+y2-2x-8=0的标准方程为(x-1)2+y2=9,所以圆心为(1,0).易知直线x+2y=0的斜率
.设过圆心(1,0)且与直线x+2y=0垂直的直线的斜率为k2,则k1·k2,=-1,所以k2= 2,所以所求直线的方程为y=2(x-1),即2x-y-2=0.
3、在△ABC中,内角A,B,C的对边分别为a,b,c,若sinA:sinB=2:3,则a:b=()
答 案:B
解 析:
主观题
1、已知
答 案:方法一:矢量图表示法 矢量图表示法如图所示。
方法二:矢量表示法
解 析:


填空题
1、在等差数列{an}中,a1=-23,d=2,则数列{an}中负数项的个数为()
答 案:12
解 析:易知an=a1+(n-1)d=-23+(n-1)×2=2n-25.由an=2n-25<0,得n<12.5,所以数列{an}中负数项的个数为12.
2、在△ABC中,内角A,B,C的对边分别为a,b,c,且a=3,b=2,A=60°. (1)求sinB; (2)求△ABC的面积
答 案:






3、已知函数
的最大值比最小值大4,则实数a=()
答 案:4
解 析:


简答题
1、已知函数
(1)画出f(x)的图像;
(2)若
,求m的取值范围
答 案:(1)函数f(x)的图像如图所示:
