2025-10-22 15:45:46 来源:勒克斯教育网
2025年高职单招《数学(中职)》每日一练试题10月22日,可以帮助我们积累知识点和做题经验,进而提升做题速度。通过高职单招每日一练的积累,助力我们更容易取得最后的成功。
单选题
1、直线3x+2y+6=0的斜率为k,在y轴上的截距为b,则有()




答 案:C
解 析:由 3x+2y+6=0得
,所以该直线的斜率
,在y轴上的截距b=-3.
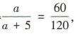
2、某工厂生产 A,B,C三种不同型号的产品,某月生产这三种产品的数量之比依次为2:a:3,现用分层抽样方法抽取一个容量为120的样本,已知B型号产品抽取了60件,则a=
答 案:C
解 析:由题意得
解得a= 5.
3、设a,b,c为实数,则下列说法正确的是( ).
答 案:C
主观题
1、已知
答 案:方法一:矢量图表示法 矢量图表示法如图所示。
方法二:矢量表示法
解 析:


填空题
1、函数f(x)=sinxcosx+1的最小值为()
答 案:
解 析:


2、函数
的定义域为()
答 案:
解 析:


3、若
,则f(2)=_______________
答 案:0
解 析:将x=2代入f(x)得,f(2)=0
简答题
1、设函数f(x)既是R上的减函数,也是R上的奇函数,且f(1)=2.(1) 求f(-1)的值; (2) 若f(t2-3t+1)>-2,求t的取值范围
答 案:解:(1)因为f(x)在R上是奇函数
所以f(-x)=-f(x),f(-1)=-f(1)=-2
(2)f(t2-3t+1)>-2=f(-1)
因为f(x)在R上是减函数,t2-3t+1<-1
所以1