2025-08-22 15:49:58 来源:勒克斯教育网
2025年高职单招《数学(中职)》每日一练试题08月22日,可以帮助我们积累知识点和做题经验,进而提升做题速度。通过高职单招每日一练的积累,助力我们更容易取得最后的成功。
单选题
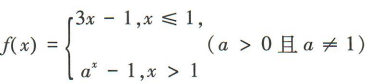
1、设函数
,若f[f(1)]=8,则a=()


答 案:A
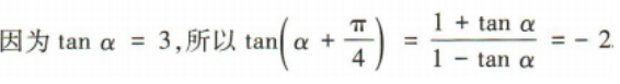
解 析:因为
,所以f(1)=3-1=2,所以f[f(1)]=f(2)=a²-1=8,解得a=3或a=-3(舍去).
2、已知
()
答 案:A
解 析:
3、如果f(x)的一个原函数为x-sinx,则∫f(x)dx=()
答 案:D
主观题
1、已知
答 案:方法一:矢量图表示法 矢量图表示法如图所示。
方法二:矢量表示法
解 析:


填空题
1、将某校100名学生的数学测试成绩绘制成如图所示的频率分布直方图,分数不低于a(a为整数)为优秀,如果优秀的人数为20,则a的估计值是()
答 案:133
解 析:分数低于140的人数为100x10x(0.005+0.018+0.030+0.022+0.015)= 90.分数低于130的人数为100 x10x(0.005 +0.018 + 0.030+0.022)= 75,故a∈(130,140),所以[(140-a) x0. 015 + 0.01 x 10]x100=20.解得a≈133.
2、已知扇形的面积为4,圆心角为2rad,则该扇形的周长为()
答 案:8
解 析:扇形的半径为r.由扇形的面积为4,圆心角α=2
所以扇形的弧长l=α·r=4,所以扇形的周长为l+2r=8.
3、已知二次函数y=x2+bx+c的最小值是-6,图像经过点(4,c),则c的值为()
答 案:-2
解 析:∵二次函数y=x2+bx+c的图像经过点(4,c),∴c=16+4b+c,∴b=-4,∴y=x2-4x+c=(x-2)2-4+c.又y=x2+bx+c的最小值是-6,∴-4+c=-6,∴c=-2.
简答题
1、求在两坐标轴上截距之和等于4,且与直线 5x+3y=0 垂直的直线方程.
答 案: