2025-09-30 15:27:18 来源:勒克斯教育网
2025年高职单招《数学(中职)》每日一练试题09月30日,可以帮助我们积累知识点和做题经验,进而提升做题速度。通过高职单招每日一练的积累,助力我们更容易取得最后的成功。
单选题
1、不等式
的解集是()



答 案:B
解 析:

2、等差数列11,8,5,…中,-49是数列的第()
答 案:C
解 析:设等差数列公差为d,则a1=11,d=8-11=-3,∴an=11+(n-1)×(-3)=-3n+14.令-3n+14=-49,解得n=21.
3、已知函数
则f(-1)·f(1)=()
答 案:A
解 析:易知f(-1)=(-1)2+2=3,f(1)=-1,则f(-1)·f(1)=-3
主观题
1、已知
答 案:方法一:矢量图表示法 矢量图表示法如图所示。
方法二:矢量表示法
解 析:


填空题
1、一个数分别加上20,50,100后得到的三个数成等比数列,则这个数为()
答 案:25
解 析:设所求的数为x.根据题意得(x+50)2=(x+20)(x+100),解得x=25.
2、若向量
与向量
共线,则m =()
答 案:3
解 析:由于两向量共线,所以2m-6=0,得m=3
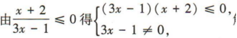
3、不等式
的解集为()
答 案:(3,4)
解 析:
简答题
1、已知△ABC的内角A,B,C的对边分别为a,b,c,已知
(1)求B;
(2)若b=5,
,求c.
答 案:





