2025-08-04 15:55:01 来源:勒克斯教育网
2025年高职单招《数学(中职)》每日一练试题08月04日,可以帮助我们积累知识点和做题经验,进而提升做题速度。通过高职单招每日一练的积累,助力我们更容易取得最后的成功。
单选题
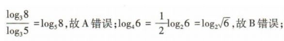
1、下列运算正确的是()




答 案:D
解 析:


2、现从6名学生干部中选出3名同学分别参加全校资源、生态和环保3个夏令营活动,则不同的选派方案的种数是
答 案:C
解 析:从6名学生干部中选出3名同学分别参加全校资源,生态和环保3个夏令营活动的选派方案的种数是
120.
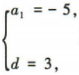
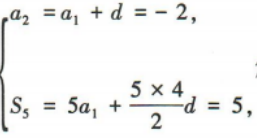
3、已知等差数列{an}的前5项和S5=5,且a2=-2,则a4=()
答 案:B
解 析:设等差数列{an}的公差为d.根据题意得
解得
所以a4=a1+3d=-5+9=4.
主观题
1、已知
答 案:方法一:矢量图表示法 矢量图表示法如图所示。
方法二:矢量表示法
解 析:


填空题
1、已知向量a=(6,2),b=(3,6),则a与b的夹角为()
答 案:
解 析:



2、设一组样本数据 x1,x2,…,x8的方差为 6,则数据 3x1+1,3x2+1,…,3x8+1的方差是()
答 案:54
解 析:设x1,x2,…,x8的平均数为
,则
且
48,故 3x1+1,3x2+1,…,3x8+1的平均数为
方差为

3、函数
的最小正周期为()
答 案:π
解 析:
简答题
1、如图,在长方体 ABCD-A1B1C1D1中,底面ABCD是边长为1的正方形,长方体的高为
(1)求直线BD1与底面 ABCD 所成角的大小;(2)证明:平面
答 案:(1)在长方体ABCD-A1B1C1D1中,易知
因为
所以
所以
是直线BD1与底面 ABCD 所成的角.
因为正方形 ABCD 的边长为1,
所以
又
所以
因为
所以
,即直线 BD1与底面 ABCD 所成角的大小为 60°.
(2)易知
所以
因为四边形 ABCD 是正方形,
所以
因为
所以
又
所以