2025-07-19 15:45:18 来源:勒克斯教育网
2025年高职单招《数学(中职)》每日一练试题07月19日,可以帮助我们积累知识点和做题经验,进而提升做题速度。通过高职单招每日一练的积累,助力我们更容易取得最后的成功。
单选题
1、已知向量a,b满足|a|=1,|b|=2,a·(a+b)=0,则向量a与b的夹角为()




答 案:C
解 析:设向量a与b的夹角为θ.由a·(a+b)=0,得a²+|a||b|cosθ=0.又|a|=1,|b|=2,所以1+2cosθ=0,所以
。因为0<θ<π,所以
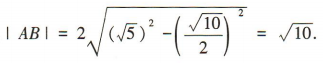
2、直线l:3x-y-6=0与圆C:x2+y2-2x-4y=0相交于A,B两点,则|AB|=()


答 案:C
解 析:易知圆C:x2+y2-2x-4y=0即(x- 1)2+(y-2)2=5的圆心坐标为(1,2),半径为
因为点(1,2)到直线3x-y-6=0的距离为
,所以
3、已知α是第三象限角,且
,则cos(π+α)=()




答 案:D
解 析:易知
因为α是第三象限角,所以
,所以
主观题
1、已知
答 案:方法一:矢量图表示法 矢量图表示法如图所示。
方法二:矢量表示法
解 析:


填空题
1、抛物线y2=4x的焦点到直线l:5x+12y+3=0的距离是()
答 案:
解 析:易知抛物线y2=4x的焦点坐标为(1,0),所以抛物线的焦点到直线l:5x+12y+3=0的距离d=
2、已知向量a=(4,3),b=(x,4),若a⊥b,则|b|=()
答 案:5
解 析:因为a⊥b,所以a·b=0.又a=(4,3),b=(x,4),所以4x+12=0,解得x=-3,所以b=(-3,4),
3、3(2a-b)-5(a+3b)=()
答 案:a-18b
解 析:3(2a-b)-5(a+3b)=6a-3b-5a-15b=(6-5)a-(3+15)b=a-18b.
简答题
1、已知2<a<3,-2<b<3. (1)求3a+b的取值范围; (2)求a-b的取值范围.
答 案:(1)∵2<a<3, ∴6<3a<9, 又-2<b<3,∴4<3a+b<12. (2)∵-2<b<3,∴-3<-b<2, 又∵2<a<3,∴-1<a-b<5.