2025-03-24 16:05:49 来源:勒克斯教育网
2025年高职单招《数学(中职)》每日一练试题03月24日,可以帮助我们积累知识点和做题经验,进而提升做题速度。通过高职单招每日一练的积累,助力我们更容易取得最后的成功。
单选题
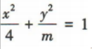
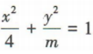
1、设点P(0,√3)在椭圆
上,F1,F2是该椭圆的两个焦点,则△PF1F2的周长为()
答 案:B
解 析:因为点P(0,√3)在椭圆
上,所以
,解得m=3,易知长轴长2a=4,所以焦距2c=2√4-3=2,所以△PF1F2的周长为|PF1|+|PF2|+|F1F2|=2a+2c=6.
2、设
则下列式子中正确的是()




答 案:A
解 析:


3、某科室共4名员工,端午节三天假期中每天需安排一人值班,且每人至多值班一天,则不同的安排方法有()
答 案:B
解 析:由题意知可从4名员工中选3人进行排列即可,故不同的安排方法有
主观题
1、已知
答 案:方法一:矢量图表示法 矢量图表示法如图所示。
方法二:矢量表示法
解 析:


填空题
1、满足M∪{1}={0.1.2}的集合M的个数为()
答 案:2
解 析:因为M∪{1}={0,1,2},所以0,2必须是集合M中的元素,1可以是集合M中的元素,也可以不是集合M中的元素,所以M={0,2}或M={0,1,2},所以满足题意的M的个数是2.
2、两平行直线l1:3x+4y+2=0与l2:3x+4y-1=0之间的距离是()
答 案:
解 析:直线l1:3x+4y+2=0与l2:3x+4y-1=0之间的距离为
3、
()
答 案:
解 析:
简答题
1、已知S,是等差数列{an}的前n项和,a1=-5,a3+a4=0. (1)求数列{an}的通项公式; (2)若Sm=40,求m的值.
答 案:

