2025-12-09 16:11:16 来源:勒克斯教育网
2025年高职单招《数学(中职)》每日一练试题12月09日,可以帮助我们积累知识点和做题经验,进而提升做题速度。通过高职单招每日一练的积累,助力我们更容易取得最后的成功。
单选题
1、在等差数列{an}中,a3+a4=7,则a1+a6=()
答 案:D
解 析:因为数列{an}是等差数列,所以a1+a6=a3+a4=7.
2、已知等比数列{an}的前n项和为Sn,a2=4,a5=32,则S5=()
答 案:B
解 析:设等比数列{an}的公比为q.因为a2=4,a5=32,所以
,解得q=2,所以
,所以S5=
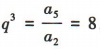
3、在等比数列{an}中,已知
,则a5的值是()

答 案:C
解 析:易知a5是a4和a6的等比中项,所以
,所以
.
主观题
1、已知
答 案:方法一:矢量图表示法 矢量图表示法如图所示。
方法二:矢量表示法
解 析:


填空题
1、设一组样本数据 x1,x2,…,x8的方差为 6,则数据 3x1+1,3x2+1,…,3x8+1的方差是()
答 案:54
解 析:设x1,x2,…,x8的平均数为
,则
且
48,故 3x1+1,3x2+1,…,3x8+1的平均数为
方差为

2、设等差数列{an}的公差d≠0,a1=4d,若ak是a1与a2k的等比中项,则k()
答 案:3
解 析:

3、函数y=sinx,x∈[0,2π]的图像与直线
的交点的个数为()
答 案:2
解 析:

简答题
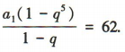
1、已知数列{an}的前n项和Sn=2an-3.
(1)求{an}的通项公式;
(2)
答 案:



