2025-12-01 15:57:03 来源:勒克斯教育网
2025年高职单招《数学(中职)》每日一练试题12月01日,可以帮助我们积累知识点和做题经验,进而提升做题速度。通过高职单招每日一练的积累,助力我们更容易取得最后的成功。
单选题
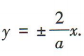
1、若直线2x+3y=0是双曲线
的一条渐近线,则实数a的值为()



答 案:B
解 析:易知双曲线
的渐近线方程为
因为直线2x+3y=0即
是双曲线的一条渐近线,所以a=3.
2、高中某年级分三类班,甲类班有400人,乙类班有200人,丙类班有300人,现欲采取分层随机抽样的方法分析考试成绩情况,若抽取90份试卷进行分析,则从甲类班抽取的试卷份数应为()
答 案:B
解 析:甲类班抽取的试卷份数应为
3、经过O(0,0),A(4,0),B(0,2)三点的圆的标准方程是()


答 案:B
解 析:设所求圆的方程为(x-a)²+(y-b)²=r²,由题意得
解得a=2,b=1,r=
, 所以圆的标准方程为(x-2)²+(y-1)²=5.
主观题
1、已知
答 案:方法一:矢量图表示法 矢量图表示法如图所示。
方法二:矢量表示法
解 析:


填空题
1、将某校100名学生的数学测试成绩绘制成如图所示的频率分布直方图,分数不低于a(a为整数)为优秀,如果优秀的人数为20,则a的估计值是()
答 案:133
解 析:分数低于140的人数为100x10x(0.005+0.018+0.030+0.022+0.015)= 90.分数低于130的人数为100 x10x(0.005 +0.018 + 0.030+0.022)= 75,故a∈(130,140),所以[(140-a) x0. 015 + 0.01 x 10]x100=20.解得a≈133.
2、tan(-390°)=()
答 案:
解 析:
3、已知椭圆
与直线
交于A,B两点,则实数m的取值范围为()
答 案:
解 析:由
得9x2+6mx+2m2-18=0.因为直线l与椭圆C交于A,B两点,所以Δ=36m2-36(2m2-18)= 36(18-m2)>0,解得
,故实数m的取值范围为
.
简答题
1、证明:
函数上单调递增
答 案:

