2025-11-30 14:48:18 来源:勒克斯教育网
2025年高职单招《数学》每日一练试题11月30日,可以帮助我们积累知识点和做题经验,进而提升做题速度。通过高职单招每日一练的积累,助力我们更容易取得最后的成功。
判断题
1、函数f(x)=(x-1)(x2+3x-10)有3个零点。()
答 案:对
2、各边相等的多边形是正多边形。()
答 案:错
解 析:菱形的各边相等,但它不一定是正方形。
单选题
1、一组对边平行,并且对角线互相垂直且相等的四边形是()
答 案:B
解 析:根据菱形、矩形、正方形等的判定可知:正方形或等腰梯形的一组对边平行,对角线相等且可以互相垂直.此题主要考查了正方形的判定,学生对这些概念类的知识一定要牢固掌握.这是数学中的基础.
2、等差数列{an}的前n项和为Sn,若a3=4,S9=18,则公差d=()
答 案:B
多选题
1、下列命题中,不正确的是()
答 案:ABD
解 析:A、不在同一条直线上的三点确定一个圆,故本选项错误;B.、三角形的外心是三角形三边垂直平分线的交点,所以本选项是错误;C、三角形的外接圆是三条垂直平分线的交点,有且只有一个交点,所以任意三角形一定有一个外接圆,并且只有一个外接圆,所以本选项是正确的;D、直角三角形的外心在斜边中点处,故本选项错误。故选:ABD
2、已知函数
关于函数f(x)的结论正确的是( )

答 案:AC
解 析:当x≤-1时,f(x)的取值范围是(-∞,1],当-1<x<2时,f(x)的取值范围是[0,4),因此f(x)的值域为(-∞,4),故A正确;当x=1时,f(1)=12=1,故B错误;当x≤-1时,由x+2=3,解得x=1(舍去),当-1<x<2时,由x2=3,解得x=或x=-(舍去),故C正确;当x≤-1时,由x+2<1,解得x<-1,当-1<x<2时,由x2<1,解得-1<x<1,因此f(x)<1的解集为(-∞,-1)∪(-1,1),故D错误.故选AC.
主观题
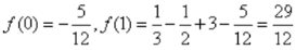
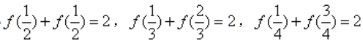
1、对于三次函数f(x)=ax3+bx2+cx+d(a≠0),定义:f"(x)是函数y=f(x)的导数f’(x)的导数,若方程f"(x)=0有实数解x0,则称点(x0,f(x0))为函数y=f(x)的“拐点”有同学发现“任何一个三次函数都有‘拐点”;任何一个三次函数都有对称中心,且‘拐点’就是对称中心”已知
,
(1)分别求
的值,然后归纳猜想一般性结论并证明;
(2)求
答 案:解:(1)通过计算
所以f(0)+f(1)=2, 同理可得
,
由此猜想f(x)+f(1-x)=2.
因为
由2x-1=0得
,
因为
,
所以f(x)的对称中心为
.
所以f(x)+f(1-x)=2.
(2)由(1)知,
,
所以
=2×2016+1
=2013.
2、为迎接党的“十九大”胜利召开与响应国家交给的“提速降费”任务,某市移动公司欲提供新的资费套餐(资费包含手机月租费、手机拨打电话费与家庭宽带上网费)。其中一组套餐变更如下:
原方案资费
新方案资费
(1)客户甲(只有一个手机号和一个家庭宽带上网号)欲从原方案改成新方案,设其每月手机通话时间为x分钟(x∈N*),费用原方案每月资费-新方案每月资费,写出y关于x的函数关系式;
(2)经过统计,移动公司发现,选这组套餐的客户平均月通话时间x≤400分钟,为能起到降费作用,求的取值范围。
答 案:(1)
(2)0.2<a<0.3
解 析:(1)i)x≤100,y=68+0.2x-58=10+0.2x ii)当x>100,y=68+0.2x-[58+(x-100)a]=(0.2-a)x+100a+10
综上所述
(2)由题意,x≤400,y>0恒成立,
显然,当x≤100,x∈N*,y>0
当100<x≤400,因为0.2-a<0,
y=(0.2-a)x+100a+10为减函数
所以当y=400时,ymin=90-300a>0
解得a<0.3
从而0.2<a<0.3
填空题
1、在等比数列中,a2=3,q=2,则a5=______
答 案:24
2、
答 案:2