2025-09-21 15:52:30 来源:勒克斯教育网
2025年高职单招《数学(中职)》每日一练试题09月21日,可以帮助我们积累知识点和做题经验,进而提升做题速度。通过高职单招每日一练的积累,助力我们更容易取得最后的成功。
单选题
1、一个盒子中有20张奖券,其中一等奖2张,二等奖4张,三等奖8张,小明从盒子中任取一张奖券,小明中奖的概率是()




答 案:C
解 析:20张奖券中,中奖奖券共有2+4+8=14(张),所以小明中奖的概率是
2、在等差数列{an}中,a1=-3,公差d=3.若此数列前n项的和Sn=27,则n=()
答 案:B
解 析:由题意知,数列{an}为等差数列,a1=-3,d=3,所以

3、抛物线y=4x²的焦点到准线的距离是()


答 案:B
解 析:由抛物线方程知
,即
,根据抛物线定义,可知焦点到准线的距离是
.
主观题
1、已知
答 案:方法一:矢量图表示法 矢量图表示法如图所示。
方法二:矢量表示法
解 析:


填空题
1、过直线2x-y+4=0与x-y+5=0的交点,且垂直于直线x-2y=0的直线的方程为()
答 案:2x+y-8=0
解 析:由
得
所以直线2x-y+4=0与x-y+5=0的交点为(1,6).因为垂直于直线x-2y=0的直线的斜率为-2,所以所求直线的方程为y-6=-2(x-1),即2x+y-8=0.
2、已知椭圆
上一点 P到椭圆的一个焦点的距离为3,则 P到另一个焦点的距离为()
答 案:7
解 析:设F1,F2为椭圆的两个焦点,且|PF1|ㄧ=3.由题意知,椭圆的长半轴长a=5,则由椭圆定义知|PF2|=2a-|PF1|=2x5-3 = 7.
3、函数
的值域是()
答 案:(0,+∞)
解 析:
简答题
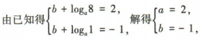
1、已知函数
的图像经过点(8,2)和(1,-1).求f(x)的解析式.
答 案:
