2025-09-14 16:10:08 来源:勒克斯教育网
2025年高职单招《数学(中职)》每日一练试题09月14日,可以帮助我们积累知识点和做题经验,进而提升做题速度。通过高职单招每日一练的积累,助力我们更容易取得最后的成功。
单选题
1、已知某圆锥的侧面展开图为半圆,该圆锥的体积为
,则该圆锥的表面积为


答 案:A
解 析:设圆锥底面的半径为r,母线长为l,由题意得2πr= πl,所以l= 2r,所以圆锥的高为
,所以圆锥的体积为
,解得r= 3,所以圆锥的表面积为 πr2 + πrl = 9π +18π= 27π.
2、已知{an}是等差数列,且2a8=a9+3,则a7=()
答 案:B
解 析:设等差数列|an}的公差为d.由2a8=a9+3得2(a1+7d)=a1+8d+3,即a1+6d=a7=3.
3、若椭圆
的一个焦点坐标为(2,0),则此椭圆的方程为()




答 案:D
解 析:因为椭圆的标准方程为
,一个焦点坐标为(2,0),所以c=2,b=1,所以a2=b2+c2=5,所以椭圆的方程为
主观题
1、已知
答 案:方法一:矢量图表示法 矢量图表示法如图所示。
方法二:矢量表示法
解 析:


填空题
1、已知
那么sin(π+α)=()
答 案:
解 析:
2、若事件A为必然事件,则其对立事件
的概率等于()
答 案:0
解 析:因为事件A为必然事件,所以事件A的概率 P(A)=1,所以对立事件
的概率为 0.
3、若
则tan2α=()
答 案:
解 析:

简答题
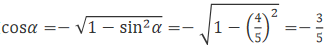
1、若sinα=4/5,且α是第二象限角,求sin2α,cos2α,tan2α.
答 案:解:α是第二象限角,
故
sin2α=2sinαcosα=
cos2α=1−2sin2α=
