2025-08-09 17:13:37 来源:勒克斯教育网
2025年高职单招《电子类》每日一练试题08月09日,可以帮助我们积累知识点和做题经验,进而提升做题速度。通过高职单招每日一练的积累,助力我们更容易取得最后的成功。
判断题
1、交流放大电路只能放大交流信号,直流放大电路只能放大直流信号。()
答 案:错
2、右手螺旋法则是一种判别手势,当右手握住直导线,伸直的大拇指指向电流方向,四指环绕指向磁场方向。()
答 案:对
单选题
1、下列属于电磁感应现象的是()
答 案:D
2、如图3所示的是()逻辑门电路的时序图。
答 案:C
多选题
1、下列关于磁感线的说法中,正确的有()
答 案:AD
2、关于磁感应强度和磁场强度各自特性,叙述正确的有()
答 案:BD
主观题
1、电路如图6所示,画出输出波形,写出Y的逻辑表达式。
答 案:

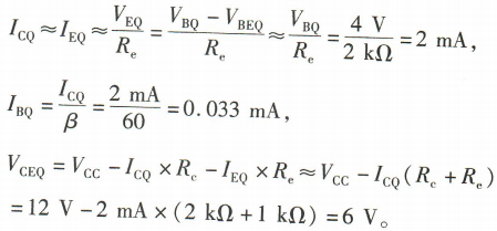
2、如图1所示电路,已知β=60,VBEQ=0.7V,Rb1=60kΩ、Rb2=30kΩ,Rc=2kΩ,Re=1kΩ,Vcc=12V,RL=4kΩ。请作答:(1)近似估算静态工作点(VBEQ=0)IBQ、ICQ、VCEQ;(2)C1、C2、Ce在电路中的作用。
答 案:解:(1)
(2)C1、C2是输入和输出耦合电容,起“隔直通交”的作用。输入耦合电容C1是避免输入信号中的直流成分对放大电路本身静态工作点的影响,输出耦合电容C2是避免放大信号中的直流成分对负载的影响。Ce是发射极旁路电容,其作用是提供交流信号的通道,减少信号的损耗,使放大器的交流信号放大能力不因 Re而降低。
填空题
1、二进制11101111第四位的权是()
答 案:23
2、4位同步二进制减法计数器的初始状态为Q3Q2Q1Q0=0101,经过7个CP时钟脉冲作用后,它的状态为Q3Q2Q1Q0=()
答 案:110