2025-09-13 17:00:16 来源:勒克斯教育网
2025年高职单招《电子类》每日一练试题09月13日,可以帮助我们积累知识点和做题经验,进而提升做题速度。通过高职单招每日一练的积累,助力我们更容易取得最后的成功。
判断题
1、D触发器的时钟脉冲的作用是使触发器的输出状态稳定。()
答 案:错
2、若磁场中各点的磁感应强度大小相同,则磁场为均匀磁场。()
答 案:错
单选题
1、十进制数99转换成二进制数的最低两位是()
答 案:D
2、硅二极管的正极电位是-10V,负极电位是-10.3V,该二极管的工作状态是()
答 案:A
多选题
1、关于单相交流电路中电压三角形和阻抗三角形,下列说法中()是正确的。

答 案:CD
2、下列关于电容器在充、放电过程中,电容两端电压与电流变化的描述正确的有()
答 案:BC
主观题
1、时序电路如图14所示,各触发器的初态均为0。
(1)填写a表所示的逻辑状态表。
(2)试在图b中画出8个脉冲作用下Q3、Q2、Q1状态波形图。
(3)试说明电路的逻辑功能。
答 案:

2、如图4所示电路中,R1=10Ω,R2=5Ω,I=1A,求R1、R2的电流数值。
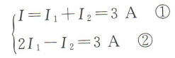
答 案:解:设R1、R2的电流I1、I2的方向如下图所示。
由节点A可得KCL方程I=I1+I2=3 A
由回路可得KVL方程
-5 A-5I2+10I1-10 A=0
10I1-5I2=15 A
2I1-I2=3 A
将两方程式联解可得
①+②得
3I1=6 A
I1=2 A
I2=3-I1=1 A
填空题
1、(292)10=()2
答 案:100100100
2、显示译码器是由()、驱动器和显示器组成。
答 案:译码器