2025-05-15 15:52:05 来源:勒克斯教育网
2025年高职单招《数学(中职)》每日一练试题05月15日,可以帮助我们积累知识点和做题经验,进而提升做题速度。通过高职单招每日一练的积累,助力我们更容易取得最后的成功。
单选题
1、下列大小关系不正确的是()




答 案:C
解 析:A选项,因为
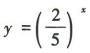
,指数函数y=2.5x在R上单调递增,所以
,故A不符合题意;B选项,
,因为
,指数函数
在R上单调递减,所以
,即
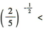
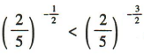
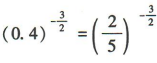
,故B不符合题意;C选项,因为函数
在(0,+∞)上单调递减,且
,所以
,故C符合题意;D选项,因为指数函数y=2.5x在R上单调递增,所以
,因为指数函数y=2x在R上单调递增,所以
,所以
,故D不符合题意.
2、不等式
的解集为()




答 案:A
解 析:




3、若指数函数y=(a+1)x是增函数,则a的取值范围是()
答 案:C
解 析:

主观题
1、已知
答 案:方法一:矢量图表示法 矢量图表示法如图所示。
方法二:矢量表示法
解 析:


填空题
1、在平行四边形ABCD中,AC与BD交于点M
()
答 案:
解 析:在平行四边形ABCD中,因为AC与BD交于点M,所以M为AC的中点,
2、
的展开式中,含x5的项是第()项.
答 案:11
解 析:易得
的展开式的通项
令15-k=5,解得k=10,则含x5的项是展开式中的第 11 项.
3、不等式(x-4)(x+5)>0的解集是______________
答 案:{x|x>4或x<-5}
解 析:方程的根为x=4或x=-5, 所以不等式的解集为{x|x>4或x<-5}
简答题
1、在等比数列{an}中,a1a2a3=8,a2+a4=10. (1)求首项a1及公比q; (2)求该数列的前8项和S8
答 案:

