2025-12-13 16:05:49 来源:勒克斯教育网
2025年高职单招《数学(中职)》每日一练试题12月13日,可以帮助我们积累知识点和做题经验,进而提升做题速度。通过高职单招每日一练的积累,助力我们更容易取得最后的成功。
单选题
1、已知点A(2,1),B(3,2),则直线AB的倾斜角为()
答 案:B
解 析:设直线AB的倾斜角为α,则直线AB的斜率
因为0°≤α<180°,所以α=45°.
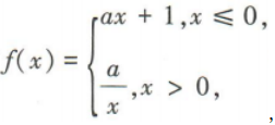
2、已知函数
,若
,则f(1)=()


答 案:A
解 析:由题意得
,解得
,所以
3、若直线mx+4y-2=0与直线2x-5y-12=0垂直,则实数m的取值为()
答 案:D
解 析:易知直线mx+4y-2=0,即
的斜率为
直线2x-5y-12=0,即
的斜率为
因为两直线垂直,所以
解得m=10。
主观题
1、已知
答 案:方法一:矢量图表示法 矢量图表示法如图所示。
方法二:矢量表示法
解 析:


填空题
1、已知过点 A(m+1,0),B(-5,m)的直线与过点 C(-4,3),D(0,5)的直线平行,则m的值为()
答 案:-2
解 析:易得直线 AB 的斜率存在,因为A(m+1,0),B(-5,m),所以直线 AB 的斜率
因为 C(-4,3),D(0,5),所以直线 CD的斜率
为AB//CD,所以
,解得m =-2.
2、函数
的定义域为()
答 案:
解 析:


3、已知以 F1,F2为焦点的椭圆
交x轴正半轴于点4,则△AF1F2的面积为()
答 案:
解 析:由题意得a2= 36,b2= 16,所以
因为椭圆与x轴正半轴交于点A,所以A(4,0),所以
简答题
1、计算不定积分∫(2ex-x+cosx)dx.
答 案:解:原式=2ex-1/2x2+sinx+C