2025-11-06 17:43:33 来源:勒克斯教育网
2025年高职单招《机械基础》每日一练试题11月06日,可以帮助我们积累知识点和做题经验,进而提升做题速度。通过高职单招每日一练的积累,助力我们更容易取得最后的成功。
判断题
1、对空间定轴轮系,其始末两齿轮转向关系可以用传动比计算公式中的(-1)m的符号来判定。()
答 案:错
解 析:空间齿轮由于各齿轮轴线不都互相平行,所以不能用(-1)m的正负来确定首末齿轮的转向,而要采用在图上画箭头的方法来确定。故错误。
2、剪切面通常与外力方向平行,挤压面通常与外力方向垂直。()
答 案:对
解 析:剪切面通常与外力方向平行,挤压面通常与外力方向垂直。故正确。
单选题
1、一个杆件在垂直于杆件轴线方向受到一对大小相等、方向相反、作用线相距很近的力作用,则该杆件发生的变形是()
答 案:D
解 析:剪切的受力特点是外力大小相等、方向相反、作用线平行或相距很近。因此题干中杆件发生的变形是剪切变形。故D正确。
2、由于组成运动副中两构件之间的()不同,可将运动副分为高副和低副。()
答 案:D
解 析:按照接触特性的不同,通常把运动副分为低副和高副两类。故D正确。
主观题
1、某传动装置中有一对渐开线标准直齿圆柱齿轮(正常齿),小齿轮的齿数z1=28,齿顶圆直径da1=90mm,中心距a=135mm。试计算模数m、大齿轮的齿数z2、齿顶圆直径da2、齿根圆直径df2以及基圆直径db2。(cos20°=0.94,sin20°=0.34)
答 案:由da1=m(z1+2h*a)可得,
由
可得
da2=m(z2+2h*a)=3×(62+2)mm=192mm,
df2=m(z2-2h*a-2c*)=3×(62-2.5)mm=178.5mm,
db2=mz2cosα=3×62×0.94mm=174.84mm。
2、绘制变量泵、单向旋转变量泵、单向旋转定量泵、双向旋转变量泵的图形符号。
答 案:变量泵、单向旋转变量泵、单向旋转定量泵、双向旋转变量泵的图形符号分别如图甲、乙、丙、丁所示。
填空题
1、力偶()合力,也不能用一个力来平衡。
答 案:没有
解 析:力偶没有合力,也不能用一个力来平衡。
2、常用的约束类型有光滑面约束、柔性约束、()和()。
答 案:光滑铰链约束,固定端约束
解 析:常用的约束类型有光滑面约束、柔性约束、光滑铰链约束和固定端约束。
简答题
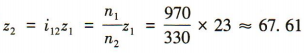
1、某压缩机的滚子链传动,已知电动机的转速n1=970r/min,压缩机的转速n2=330r/min,若与电动机直连的小链轮的齿数z1=23,求与压缩机直连的大链轮的齿数z2。
答 案:根据
可得大链轮的齿数
,取z2=68。
2、急回特性
答 案:在曲柄摇杆机构中,虽然曲柄做等速转动,而摇杆摆动时空回行程的平均速度大于工作行程的平均速度的性质称为急回特性。