2025-11-11 17:22:51 来源:勒克斯教育网
2025年高职单招《机械基础》每日一练试题11月11日,可以帮助我们积累知识点和做题经验,进而提升做题速度。通过高职单招每日一练的积累,助力我们更容易取得最后的成功。
判断题
1、圆轴材料的抗扭截面系数与圆轴的截面尺寸有关。()
答 案:对
解 析:圆轴材料的抗扭截面系数与圆周直径有关。故正确。
2、平面弯曲的梁,位于横截面中性轴的点,其弯曲正应力σ=0。()
答 案:对
解 析:根据
可知,位于横截面中性轴的点弯曲正应力为零。故正确。
单选题
1、在校核材料的剪切和挤压强度时,当其中有一个超过许用值时,强度就()
答 案:A
解 析:进行强度校核时,抗剪强度和挤压强度是必须同时满足的,当其中有一个超过许用值时,就说明强度不够。故A正确。
2、一级或多级调压回路的核心控制元件是()
答 案:A
解 析:调压回路是控制系统的工作压力,使其不超过预先调定的压力,或者使执行机构在工作过程中的不同阶段实现多级压力转换的回路,一般由溢流阀实现这一功能。因此调压回路的核心元件是溢流阀。故A正确。
主观题
1、绘制变量泵、单向旋转变量泵、单向旋转定量泵、双向旋转变量泵的图形符号。
答 案:变量泵、单向旋转变量泵、单向旋转定量泵、双向旋转变量泵的图形符号分别如图甲、乙、丙、丁所示。
2、某传动装置中有一对渐开线标准直齿圆柱齿轮(正常齿),小齿轮的齿数z1=28,齿顶圆直径da1=90mm,中心距a=135mm。试计算模数m、大齿轮的齿数z2、齿顶圆直径da2、齿根圆直径df2以及基圆直径db2。(cos20°=0.94,sin20°=0.34)
答 案:由da1=m(z1+2h*a)可得,
由
可得
da2=m(z2+2h*a)=3×(62+2)mm=192mm,
df2=m(z2-2h*a-2c*)=3×(62-2.5)mm=178.5mm,
db2=mz2cosα=3×62×0.94mm=174.84mm。
填空题
1、当两轴之间的()较大时,为使结构紧凑、便于制造和安装,可以采用()。
答 案:传动比,齿轮系
解 析:当两轴之间的传动比较大时,为使结构紧凑,便于制造和安装,可以采用齿轮系。
2、在气压传动中压力控制阀可分为三种,即()阀、()阀和安全阀。
答 案:调压,顺序
解 析:在气压传动中压力控制阀分为调压阀、顺序阀和安全阀。
简答题
1、在如图所示复合轮系中,已知各轮均为标准齿轮,各轮齿数为z1=18,z2=51,z2’=17,z3=20,z4=73,试求该轮系的传动比i1H,并说明轮1与系杆的转向关系。
答 案:对于由齿轮1、2所组成的定轴轮系有
对于由齿轮2'、3、4和系杆H组成的周转轮系有
将n4=0,n2'=n2代人上式得
负号表明轮1与系杆转向相反。
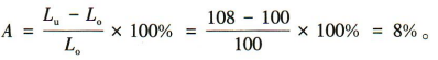
2、某材料的试样如图甲所示,原始标距Lo=100mm;拉断试样对接后测出的标距Lu=108mm。试求:
(1)材料的断后伸长率A,并判断该材料为何种材料。
(2)若试样的原始横截面积So=78.5mm²,试样断口处的最小横截面积Su=58.6mm²,求材料的断面收缩率Z。
答 案:(1)材料的断后伸长率
因为A>5%,故该材料为塑性材料。
(2)材料的断面收缩率