2025-10-03 15:45:39 来源:勒克斯教育网
2025年高职单招《数学(中职)》每日一练试题10月03日,可以帮助我们积累知识点和做题经验,进而提升做题速度。通过高职单招每日一练的积累,助力我们更容易取得最后的成功。
单选题
1、若
的展开式有9项,则自然数n的值为()
答 案:B
解 析:因为
的展开式共有n+1项,所以n+1=9,所以n=8.
2、已知复数z=(a+2i)(1-i)为纯虚数,则实数a=()


答 案:D
解 析:易得z=(a+2i)(1-i)=a-ai+ 2i-2i2=a+2+(2-a)i.又复数z为纯虚数,所以
解得a=-2.
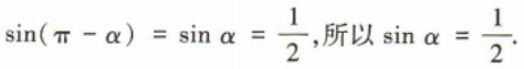
3、已知
则sinα=()




答 案:B
解 析:
主观题
1、已知
答 案:方法一:矢量图表示法 矢量图表示法如图所示。
方法二:矢量表示法
解 析:


填空题
1、满足M∪{1}={0.1.2}的集合M的个数为()
答 案:2
解 析:因为M∪{1}={0,1,2},所以0,2必须是集合M中的元素,1可以是集合M中的元素,也可以不是集合M中的元素,所以M={0,2}或M={0,1,2},所以满足题意的M的个数是2.
2、已知圆锥的高与底面圆的半径相等,若底面圆的面积为1,则该圆锥的侧面积是()
答 案:
解 析:设圆锥底面圆的半径为r,易知πr2=1,又圆锥的高与底面圆的半径相等,所以圆锥的母线长为
,故该圆锥的侧面积为
3、在△ABC中,内角A,B,C的对边分别为a,b,c,且a=3,b=2,A=60°. (1)求sinB; (2)求△ABC的面积
答 案:






简答题
1、已知i为虚数单位,实数x与y满足(x+y)-xyi=-5+24i,求x与y的值.
答 案:由题意得
解得