2025-09-02 16:08:20 来源:勒克斯教育网
2025年高职单招《数学(中职)》每日一练试题09月02日,可以帮助我们积累知识点和做题经验,进而提升做题速度。通过高职单招每日一练的积累,助力我们更容易取得最后的成功。
单选题
1、sin(α+β)cosβ-cos(α+β)sinβ=()
答 案:A
解 析:sin(α+β)cosβ-cos(α+β)sinβ=sin(α+β-β)=sinα.
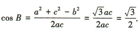
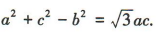
2、在△ABC中,内角A,B,C所对的边分别为a,b,c,且a²=b²-c²+
,则角B的大小是()
答 案:A
解 析:在△ABC中,由
,得
由余弦定理

3、已知甲组数据:10,11,12,13,14;乙组数据:11,12,12,12,13.则()
答 案:C
解 析:甲组数据的平均数
,乙组数据的平均数
∴甲组数据的平均数与乙组数据的平均数相等,故A,B错误;甲组数据的方差
(12-12)²+(13-12)²+(14-12)²]=2,乙组数据的方差
(12-12)²+(13-12)²]=0.4,∴
,故C正确,D错误.
主观题
1、已知
答 案:方法一:矢量图表示法 矢量图表示法如图所示。
方法二:矢量表示法
解 析:


填空题
1、若函数
是对数函数,则a=()
答 案:5
解 析:
2、若函数f(x)=x2+2ax+3在区间[-4,6]上是单调函数,则实数a的取值范围()
答 案:(-∞,-6]∪[4,+∞)
解 析:易得二次函数f(x)=x2+2ax+3的图像开口向上,对称轴为直线x=-a.因为f(x)在区间[-4,6]上是单调函数,所以
3、在△ABC中,角A,B,C所对的边分别为a,b,c,若(a+b+c)(c+b-a)=bc,则A=()
答 案:
解 析:


简答题
1、不求值,比较
的大小.
答 案:解:由于
而y=sinx在x∈
内是减函数,
故