2025-06-07 15:41:04 来源:勒克斯教育网
2025年高职单招《数学(中职)》每日一练试题06月07日,可以帮助我们积累知识点和做题经验,进而提升做题速度。通过高职单招每日一练的积累,助力我们更容易取得最后的成功。
单选题
1、已知函数f(x)=sinx,为了得到函数
的图象,只需将函数f(x)图象上所有的点向()
个单位长度
个单位长度
个单位长度
个单位长度答 案:B
解 析:将f(x)=sinx图象上所有的点向右平移
个单位长度,可得到函数
的图象.
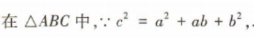
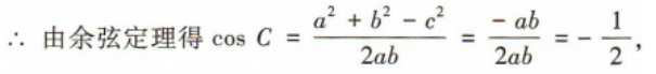
2、在△ABC中,角A,B,C的对边分别是a,b,c,若c2=a2+ab+b2,则C=()
答 案:B
解 析:


3、若直线2x+3y=0是双曲线
的一条渐近线,则实数a的值为()



答 案:B
解 析:易知双曲线
的渐近线方程为
因为直线2x+3y=0即
是双曲线的一条渐近线,所以a=3.
主观题
1、已知
答 案:方法一:矢量图表示法 矢量图表示法如图所示。
方法二:矢量表示法
解 析:


填空题
1、已知tanθ=3
()
答 案:
解 析:
2、正方体ABCD-A1B1C1D1中AC与AC1所成角的正弦值为=__________.
答 案:
解 析:由于CC1=1,AC1=√3 ,所以角AC1C的正弦值为
3、一个数分别加上20,50,100后得到的三个数成等比数列,则这个数为()
答 案:25
解 析:设所求的数为x.根据题意得(x+50)2=(x+20)(x+100),解得x=25.
简答题
1、已知抛物线的顶点在原点,对称轴为y轴,焦点F(0,1).(1)求抛物线的标准方程;
(2)若过点A(0,m),且斜率为2的直线与该抛物线没有交点,求m的取值范围.
答 案:(1)设抛物线的标准方程为x2=2py,P >0. 由题意可得
,解得p= 2,
所以抛物线的标准方程为x2=4y.
(2)设过点A(0,m),且斜率为2的直线的方程为y=2x+m.
由
得x2-8x-4m=0.
因为直线与抛物线没有交点,
所以m=(-8)2-4(-4m)<0,解得m<-4.
所以m的取值范围是(-∞,-4).