2025-05-31 16:46:39 来源:勒克斯教育网
2025年高职单招《电工技术基础与技能》每日一练试题05月31日,可以帮助我们积累知识点和做题经验,进而提升做题速度。通过高职单招每日一练的积累,助力我们更容易取得最后的成功。
判断题
1、短路状态下,电源内阻上的电压降为零。()
答 案:错
解 析:短路状态下,电路中的电流
电源内阻上的电压降U内=Ir=E,即电源内阻上的电压降等于电源电动势。故错误。
2、磁导率是一个用来表示磁介质导磁性能的物理量,不同的物质具有不同的磁导率。
答 案:对
解 析:磁导率是表征物质导磁性能强弱的物理量,不同的物质具有不同的磁导率。故正确。
单选题
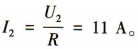
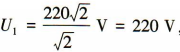
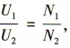
1、在如图甲所示的电路中,变压器为理想变压器,原、副绕组的匝数比为2:1,电压表和电流表均为理想电表,定值电阻R的阻值为10Ω,a、b端输入如图乙所示的电压,则电流表和电压表的示数分别为()



答 案:B
解 析:电压表的示数为电压的有效值,原绕组中电压的有效值为
所以电压表的示数为220V;根据
可得U2=110V,根据欧姆定律可得副绕组中电流表的示数为
故B正确。
2、RL串联电路的功率因数是()




答 案:A
解 析:RL串联电路的功率因数是
主观题
1、如图所示电路,一只40W的荧光灯接在电压为220V、频率为50Hz的电源上。(可近似把镇流器看作纯电感,灯管工作时属于纯电阻负载)
(1)连接荧光灯电路图。
(2)测得灯管两端的电压为110V,试求镇流器上的感抗和电感。
(3)通常采用什么方式提高功率因数?
答 案:(1)荧光灯电路图如图所示。
(2)因为P=40W,UL=110V,
所以
根据
可得镇流器两端的电压
镇流器上的感抗
镇流器上的电感H≈1.67H。
(3)可以采用并联电容的方式提高功率因数。
2、在如图所示的电路中,已知R1=R2=5Ω,iS=2A,开关S动作前电路已处于稳态。在t=0时刻开关S动作,试求换路后的初始值iL(0+)、uR2(0+)和uL(0+)。
答 案:因开关S动作前电路已处于稳态,电感L相当于短路,则有
t=0时开关S动作,由换路定律可得iL(0+)=iL(0-)=1A,
开关S动作的瞬间,电感L以恒流源代替,作出t=0+时刻的等效电路如图所示。则
uR2(0+)=iL(0+)×R2=1×5V=5V,
uL(0+)=-uR2(0+)=-5V。
填空题
1、有一台降压变压器的一次电压为380V,二次电压为38V,若一次绕组为1600匝,则二次绕组的匝数为()匝。
答 案:160
解 析:
2、某交流二端网络端电压
,输入电流
,则该二端网络的性质是(),其中R=(),X=(),消耗的有功功率P=()
答 案:电感性 10Ω
250W
解 析:由题意可知,该交流二端网络的端电压超前电流,则该二端网络为电感性,电流的有效值I=5A,电压的有效值U=100V,二端网络的阻抗为
阻抗角为60°,则根据阻抗三角形的关系可知,R=Zcosφ=10Ω,X=Zsinφ=
消耗的有功功率P=I2R=250W。
简答题
1、在电子电路中我们常用到两种电容器,一种是具有“通高频、阻低频”功能的高频旁路电容器,另一种是具有“通交流、隔直流”的隔直流电容器。试根据其功能的不同,比较这两种电容器的电容大小有什么不同。
答 案:高频旁路电容器具有“通高频、阻低频”的特点,通高频,由
可知,对高频交流电,容抗较小;阻低频,由
可知,对低频交流电,容抗很大,为满足以上要求,高频旁路电容器的电容一般较小。隔直流电容器具有“通交流、隔直流”的特点,通交流,即不仅对高频交流电的容抗较小,而且低频交流电对应容抗也很小;隔直流,即对直流电,容抗无穷大,为满足以上要求,隔直流电容器的电容一般较大。
2、如图所示,图甲中条形磁铁靠近线圈,图乙中条形磁铁远离线圈,试判断感应电流的方向和感生磁场的极性,并在图中标注出来。
答 案:题图甲中螺线管内磁通的变化趋势是增加的,感生磁场的极性与磁铁相反,为上“N”下“S”,根据右手螺旋定则,电流由上端流出。题图乙中螺线管内磁通的变化趋势是减少的,感生磁场的极性与磁铁相同,为上“S”下“N”,根据右手螺旋定则,电流由上端流入。标注如图所示。
2025年高职单招《电工技术基础与技能》每日一练试题03月31日 03-31 2025年高职单招《电工技术基础与技能》每日一练试题07月31日 07-31 2025年高职单招《电工技术基础与技能》每日一练试题01月31日 01-31 2025年高职单招《电工技术基础与技能》每日一练试题10月31日 10-31 2025年高职单招《电工技术基础与技能》每日一练试题08月31日 08-31 2025年高职单招《电工技术基础与技能》每日一练试题05月05日 05-05 2025年高职单招《电工技术基础与技能》每日一练试题03月05日 03-05 2025年高职单招《电工技术基础与技能》每日一练试题02月05日 02-05