2025年高职单招《财会类》每日一练试题03月31日

2025-03-31 16:32:29 来源:勒克斯教育网

课程 题库
分享到空间 分享到新浪微博 分享到QQ 分享到微信

2025年高职单招《财会类》每日一练试题03月31日,可以帮助我们积累知识点和做题经验,进而提升做题速度。通过高职单招每日一练的积累,助力我们更容易取得最后的成功。

判断题

1、会计账簿暂由本单位财务部门保管3年,期满后,由财务部门编制移交清册转给本单位档案部门管理。()  

答 案:错

2、“吨/台”是复合单位;“吨·公里”是双重单位。(     )  

答 案:错

单选题

1、经济落后地区,城镇土地使用税的适用税额标准可适当降低,但降低额不得超过规定最低税额的()

  • A:60%
  • B:50%
  • C:40%
  • D:30%

答 案:D

2、下列可以综合反映多种(或全部)社会经济现象总体变动方向和程度的相对数是        。(   )  

  • A:个体指数                              
  • B:平均指标指数
  • C:环比指数                              
  • D:总指数

答 案:D

多选题

1、对于工厂来说,下列属于工厂日常活动收入的有          。(    )  

  • A:产品销售收入                        
  • B:仓库出租收入
  • C:接受捐赠收入                        
  • D:材料销售收入

答 案:ABD

2、下列各项中,不会影响会计等式平衡关系的有()  

  • A:一项资产增加,一项资产减少
  • B:一项资产增加,一项负债减少
  • C:一项负债增加,一项所有者权益减少
  • D:一项资产增加,一项所有者权益减少

答 案:AC

简答题

1、简述个人所得税的概念及取得综合所得需要办理汇算清缴的纳税人具体有哪些。  

答 案:概念:个人所得税是以自然人取得的各类应税所得为征税对象而征收的一种所得税,是 政府利用税收对个人收入进行调节的一种手段。 取得综合所得需要办理汇算清缴的纳税人具体包括: (1)从两处以上取得综合所得,且综合所得年收入额减除专项扣除后的余额超过60000元的; (2)取得劳务报酬所得、稿酬所得、特许权使用费所得中一项或者多项所得,且综合所得年收入额减除专项扣除的余额超过60000元的; (3)纳税年度内预缴税额低于应纳税额的; (4)纳税人申请退税的。

2、简述概率抽样的基本准则。  

答 案:概率抽样在抽取样本时不带有任何倾向性,它通过从总体中随机抽选单位来避免这种偏差,因而对总体的推断更具有代表性。概率抽样的基本准则:第一,单位是随机抽取的;第二,调查总体中的每个单位都有一个非零的入样概率。

案例分析题

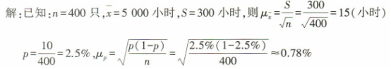
1、某企业生产一批灯泡,随机重复抽取400只做使用寿命测试。测试结果:样本平均数为5000小时,样本标准差为300小时,其中被抽中的400只灯泡中有10只不合格。 根据以上资料,计算样本平均数的抽样平均误差和样本成数的抽样平均误差。  

答 案:  

2、某地区报告期与基期相比,同样多的人民币只能购买原来商品的85%。试求物价指数。  

答 案:解:  

温馨提示:因考试政策、内容不断变化与调整,本站提供的以上信息仅供参考,如有异议,请考生以权威部门公布的内容为准!
备考交流
单招真题交流3群
扫一扫或点击二维码入群
猜你喜欢
换一换
阅读更多内容,狠戳这里