环境监测报告编制环境监测报告编制-练习卷(一)

考试总分:76分

考试类型:模拟试题

作答时间:90分钟

已答人数:385

试卷答案:没有

试卷介绍: 环境监测报告编制已经整理好,需要备考的朋友们赶紧来刷题吧!

开始答题

试卷预览

  • 1. 根据《特种作业人员安全技术培训考核管理规定》,下列不属于危险化学品特种作业人员的上岗条件的是()

    A年满18周岁,且不超过国家法定退休年龄

    B取得《特种作业操作证》

    C具有初中及以上文化程度

    D具备必要的安全技术知识与技能

  • 2. 同一层级的不同安全生产法律法规对同一类问题都有规定时,应当采取的适用原则是()。

    A普通法优于特殊法原则

    B特殊法优于普通法原则

    C以适用普通法为基本原则,以适用特殊法为例外原则

    D以适用特殊法为基本原则,以适用普通法为例外原则

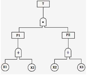
  • 3. 某生产三甲胺盐酸盐化工厂,由于一装置突然停机而造成整条生产线停产。为了诊断故障,进行了故障树分析(如下图所示)。其基本事件发生的概率分别为q1=0.03,q2=0.02,q3=0.05。该装置突然停机(顶上事件)T发生的概率是()。  

    A0.01853

    B0.02153

    C0.01812

    D0.02147

  • 4. 甲公司是乙县丙镇的一家氯乙烯生产企业《生产安全事故应急预案管理办法》,关于生产安全事故应急救援预案演练的说法,正确的是()  

    A甲公司应当至少每季度组织1次生产安全事故应急救援预案演练

    B甲公司应当将应急救援预案演练情况报送至乙县人民政府

    C乙县人民政府生产安全事故应急救援预案演练应当至少每3年组织1次

    D丙镇人民政府生产安全事故应急救援预案演练应当至少每2年组织1次

  • 5. 某建筑公司仓库突发火灾,该公司副总经理马某为减少经济损失,在没有任何防护措施的情况下,强令员工李某进入着火的仓库搬出存放的沥青卷材,并称若李某不服从安排就予以辞退。根据《劳动合同法》,关于该公司与李某之间劳动合同的履行的说法,正确的是()  

    A李某应当服从马某安排,立即进入仓库搬运沥青卷材

    B李某可以不服从马某安排,并立即解除与该公司的劳动合同,但应当事先告知该公司

    C李某可以不服从马某安排,并立即解除与该公司的劳动合同,但无权获得经济补偿

    D李某可以不服从马某安排,并立即解除与该公司的劳动合同,无需事先告知该公司

  • 1. 下列各项中可以计入间接经济损失的统计范围的内容有()。

    A停产、减产损失价值

    B工作损失价值

    C资源损失价值

    D医疗费用

    E现场抢救费用

  • 2. 事故调查处理的原则包括()。

    A科学严谨、依法依规、实事求是、注重实效

    B四不放过

    C公平、公开

    D垂直管理原则

    E政府领导、分级负责

  • 3. 分级响应是指在初级响应到扩大应急的过程中实行的分级响应的机制。扩大或提高应急级别的主要依据是()。

    A事态发展趋势

    B事故灾难的危害程度

    C影响范围

    D控制事态能力

    E事故性质

  • 4. 依据《工伤保险条例》,劳动能力鉴定委员会建立医疗卫生专家库。列入专家库的医疗卫生专业技术人员应当具备下列条件()。

    A具有医疗卫生高级专业技术职务任职资格

    B掌握劳动能力鉴定的相关知识

    C具有良好的职业品德

    D担任医疗机构的行政职务

    E身体健康,具有完全民事行为能力

  • 5. 受限空间作业一般存在活动空间小、工作场地狭窄、通风不畅、照明不良,导致作业人员出入困难等问题,特别是有些受限空间残存有毒有害介质,危险性非常高,且一旦发生事故后难以施救。下列关于受限空间作业安全措施的说法中,正确的是()。

    A作业前,应根据受限空间盛装(过)的物料的特性,对受限空间进行清洗或置换,要求氧含量(体积分数)为19.5%~21%,在富氧环境下不大于23.5%

    B在潮湿容器中,作业人员应站在绝缘板上,同时保证金属容器接地可靠,作业电压应小于或等于12V

    C作业前,必须采取机械通风的方式,保证受限空间空气通风良好

    D作业前30min内,应对受限空间进行气体分析,作业中断时间不超过2h时,可不重新进行分析

    E在风险较大的受限空间作业时,应增设监护人员,作业期间监护人员不应离开并随时与受限空间作业人员保持联络

  • 1. 什么是高处作业?