2025年高职单招每日一练《数学(中职)》12月12日

考试总分:8分

考试类型:模拟试题

作答时间:60分钟

已答人数:993

试卷答案:有

试卷介绍: 2025年高职单招每日一练《数学(中职)》12月12日专为备考2025年数学(中职)考生准备,帮助考生通过每日坚持练习,逐步提升考试成绩。

开始答题

试卷预览

  • 1. 如图所示,P为矩形 ABCD 所在平面外一点,矩形 ABCD对角线的交点为O,M为 PB的中点,则下列结论正确的个数为() ①OM// 平面 PBC;②OM // 平面 PCD:③OM//平面 PDA:④OM// 平面 PB

    A 1

    B2

    C3

    D4

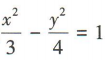
  • 2. 双曲线的焦点坐标为()  

    A(±1,0)

    B

    C

    D(±4,0)

  • 3. 函数的最小正周期是()

    Aπ

    B

    C

    D

  • 1. 已知
  • 1. 如图,在正方体ABCD-A1B1C1D1中,M,N分别为棱C1D1,C1C的中点,则以下四个结论正确的是().(填写正确结论的编号)① 直线 AM 与CC1是相交直线;②直线 AM 与 BN 是平行直线;③ 直线 BN 与MB1是异面直线;④ 直线 AM 与DD1是异面直线.  
  • 2. 圆C:x²+y²-2x+6y=0的圆心为_____,半径为_____  
  • 3. 5个人站在一起照相,甲、乙两人间恰好有一个人的排法有_____种  
  • 1. 已知函数f(x)=x2+bx-2. (1)若f(x)为偶函数,求不等式的解集; (2)若f(x)在[-2,4]上的最大值为10,求b的值.