考试总分:8分
考试类型:模拟试题
作答时间:60分钟
已答人数:111
试卷答案:有
试卷介绍: 2025年高职单招每日一练《数学(中职)》7月18日专为备考2025年数学(中职)考生准备,帮助考生通过每日坚持练习,逐步提升考试成绩。
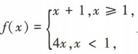
且f(x)=2,则x的值是()
A1
B
C
D2或1
b=2且△ABC的面积为
则c=()A1
B2
C3
D4
Ay=lgx
By=2X
Cy=x³
Dy=cosx

的展开式中,x5的系数是()
则sinαcosα的值为()
命题q:y=log2(x2-x-12)有意义.若p∧q为真命题,求实数x的取值范围.