2025年成考专升本每日一练《计算机基础》11月15日

考试总分:10分

考试类型:模拟试题

作答时间:60分钟

已答人数:215

试卷答案:有

试卷介绍: 2025年成考专升本每日一练《计算机基础》11月15日专为备考2025年计算机基础考生准备,帮助考生通过每日坚持练习,逐步提升考试成绩。

开始答题

试卷预览

  • 1. 对于微型计算机来说,()的工作速度基本上决定了计算机的运算速度。  

    A控制器

    B运算器

    CCPU

    D存储器

  • 2. 选购计算机电源时,应主要考虑的是()  

    A机箱的坚固性

    B散热空间

    C电源功率

    D电磁屏蔽

  • 1. 生产硬盘的著名厂商主要有(  )  

    A希捷

    B日立

    C三星

    D西部数据

    E迈拓

    F昆腾

  • 2. 扫描仪的技术指标主要有()。  

    A光学分辨率

    B转速

    C色彩位数

    D感光元件类型

  • 1. IP地址应用 某公司有5个部门,每个部门拥有的机器数不超过30台,为了管理方便,现要求将一个C类网络地址192.168.100.0进行子网划分,每个部门对应一个子网。请回答下列问题: (1)Intermet上使用的IP地址分为A、B、C三类,其中B类网络的缺省子网掩码为①; (2)若某一部门中的一台机器的IP地址为192.168.100.68,则此部门所分配的子网网络地址为②,该子网的广播地址为③; (3)该子网划分策略和不进行子网划分相比,损失了④个可用的IP地址; (4)若不考虑实际需求情形,对一个C类网络地址进行子网划分,子网地址为⑤位时,损失的IP地址最少。  
  • 2. 在下列网络服务中,()是远程登录服务,默认端口号为() (1)A、WWW B、FTP C、BBS D、Telnet (2)A、21 B、23 C、25 D、80  
  • 1. 喷墨打印机的原理:使用大量的喷嘴,将()喷射到纸张上:优点很多,但缺点是打印成本高。  
  • 2. 模拟信号的数字化过程包括()、()和()。  
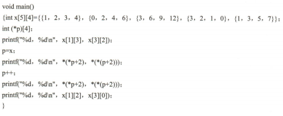
  • 1. 分析程序的结果  
  • 2. 分析程序的结果