2023-05-21 14:03:01 来源:勒克斯教育网
2023年定西师范高等专科学校单招题库包括语文、数学、英语、综合素质、职业技能测试、职业适应性测试以及面试模拟试题,考生可以进行单招试题练习。
单选题
1、为了让猪肉红肉(瘦肉)更多些,养殖户添加了瘦肉精,他的行为属于()
答 案:A
解 析:使用瘦肉精是一种违规甚至是违法行为,农业部1997年就发文禁止瘦肉精在饲料和畜牧生产中使用。
2、在心理治疗中,病人对心理医生产生的情绪依恋被称为()
答 案:D
解 析:移情一词来源于弗洛伊德所创立的精神分析理论,指在精神分析师进行心理咨询的过程中,来访者对咨询师产生的一种强烈的情感,这种情感就是将自己过去对他人的情感投射到咨询师身上。当然,咨询师有的时候在咨询的过程中也会对来访者产生强烈的情感,这叫做反移情。
3、从所给的四个选项中,选择最合适的一个填入问号处,使之呈现一定的规律性。()




答 案:B
解 析:每幅图都由4个元素组成,观察其位置关系,前4幅图中黑圆位于三角形、圆形、长方形三个图形的相交部分。
4、为了促进儿童骨骼的发育,除了给儿童多补充含钙、磷多的食物,还应补充()。
答 案:D
5、社会主义核心价值观,从公民个人层面看是()
答 案:A
解 析:爱国、敬业、诚信、友善是公民个人层面的价值准则。
6、下列选项中,体现了人际交往中互助原则的是()
答 案:D
7、What can be inferred about the author?
答 案:C
8、下列关于仪容仪表的说法,符合场合的是()
答 案:A
解 析:仪容仪表要整洁大方。
9、We have to take temperatures,wear masks, wash hands often and don't go out () it's necessary during the special period.
答 案:C
解 析:考查连词。句意为:“在特殊时期,我们必须 量体温、戴口罩、经常洗手,除非有必要,否则不 要出门。”unless意为“除非;如果不”,相当于 “if…not(如果不)”,引导条件状语从句。分析 句子结构可知,空格后面的句子是“don't go out”的条件状语,所以应用unless。故选C。
10、第20空填()。
答 案:C
解 析:考查动词短语辨析。give up意为“放弃”;get on意为“上车”;look for意为“寻找”;take up意为 “开始从事” 。根据上文的“not depending on others”可知,老师认为作者不需要寻找肩膀来依 靠。此处look for a shoulder指“依靠别人” 。故 选C。
11、中国共产党领导中国革命是走以农村包围城市,最后夺取全国胜利的道路,建立的第一个农村革命根据地是()
答 案:B
12、从下面单词中找一个括号部分读音不同的单词。()
答 案:B
13、汉武帝是一位雄才大略的封建皇帝,他在位期间,实现了政治、经济、军事、思想等方面的大一统,为了实现思想上的大一统,他采取的措施是()①焚书坑儒②罢黜百家,独尊儒术③举办太学,推行儒学教育④八股取士
答 案:D
解 析:选项中①焚书坑儒属于秦始皇采取的措施;④八股取士属于明朝采取的措施。
14、下列对我国计划生育政策中晚婚晚育标准叙述正确的一项是()。
答 案:D
解 析:男年满25周岁、女年满23周岁后结婚为晚婚,女年满24周岁后初育为晚育。故选:D
15、在Excel2010中,“#DIV/0!”表示以下哪种标识:()
答 案:D
解 析:“#DIV/0!”表示公式的函数中除数为0报错。
16、教育的“心理起源说”认为教育起源于()
答 案:B
解 析:认为教育起源于模仿是心理起源说的观点,心理起源说认为教育是儿童对成人无意识的模仿。
简答题
1、(改写句子,句意不变,每空只填一个词)
My mother still remembers the winter of 1976.A terrible earthquake happened then.
My mother still remembers the winter of 1976 ()a terrible.earthquake ()
答 案:when;happened
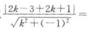
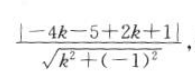
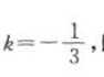
2、求经过点P(-2,1)且到P1(2,3),P2(-4,5)两点距离相等的直线方程.
答 案:由题知经过点P(-2,1)的直线的斜率存在,设为k,则所求直线的方程为y-1=k(x+2),即
kx-y+2k+1=0,由于点P1(2,3),P2(-4,5)到直线kx-y+2k+1=0的距离相等,所以
,解得k=3或
,即所求直线方程为3x-y+7=0或x+3y-1=0.
判断题
1、洞身是隧道的主体部分,是列车通过的通道。()
答 案:对
解 析:洞身是隧道结构的主体部分,是列车通行的通道
填空题
1、设
,则M与N的大小关系是_____.
答 案:M>N
💯相关推荐:
| 📋考试科目 | |||
| 语文 | 数学 | 英语 | |
| 面试 | 综合素质 | 职业倾向性测试 | 职业技能测试 |
| ✍考试题库 | |||
| 模拟试卷 | 历年真题 | 每日一练 | |
聚题库高职单招网课火热招生中:为考生护航、轻松考学历!【点击前往>>】
🔑刷题神器👉【高职单招考试聚题库APP】
考前提分必备:高职单招免费刷题题库+单招全科套装(三册)
高职单招免费报名咨询及教辅从书领取👇👇👇