2025-12-09 14:55:40 来源:勒克斯教育网
2025年高职单招《数学》每日一练试题12月09日,可以帮助我们积累知识点和做题经验,进而提升做题速度。通过高职单招每日一练的积累,助力我们更容易取得最后的成功。
判断题
1、两个单位向量一定相等。()
答 案:错
解 析:∵两个单位向量的方向可以不同,∴两个单位向量不一定相等,故错误。
2、cos(3
+a)=cosa。()
答 案:错
单选题
1、在∆ABC中,AB=3,AC=2,若
,则
()




答 案:C
2、向最大容量为60升的热水器内注水,每分钟注水10升,注水2分钟后停止1分钟,然后继续注水,直至注满.则能反映注水量与注水时间函数关系的图像是()




答 案:D
解 析:按照注水的过程分为,注水2分钟,已注入10*2=20L水,还剩40L水需要注入;则需四分钟即停1分钟后再注水4分钟.所以当y=60L时,x=2+1+4=7。故选D
多选题
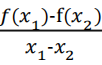
1、已知函数 f(x)的定义域为 R,其导函数 f'(x)的图象如图所示,则对于任意 x 1 ,x2∈R(x1≠x 2 ),下列结论正确的是( )


答 案:AD
解 析:由题中图象可知,导函数 f'(x)的图象在 x 轴下方,即 f'(x)<0,且其绝对值越来越小,因此过函数 f(x)图象上任一点的切线的斜率为负,并且从左到右切线的倾斜角是越来越大的钝角,由此可得 f(x)的大致图象如图所示.
A 选项表示 x 1 -x2与 f(x1 )-f(x2 )异号,即 f(x)图象的割线斜率
为负,故 A 正确;B 选项表示 x 1 -x2与 f(x1 )-f(x2 )同号,即 f(x) 图象的割线斜率
为正,故 B 不正确;
对应的函数值,即图中点 B 的纵坐标
时所对应的函数值的平均值,即图中点 A 的纵坐标,显然有
故 C 不正确,D 正确.故选 AD.
2、下列说法不正确的是()
答 案:BCD
解 析:A、根据圆的轴对称性可知此命题正确,不符合题意;B、等弧指的是在同圆或等圆中,能够完全重合的弧.而此命题没有强调在同圆或等圆中,所以长度相等的两条弧,不一定能够完全重合,此命题错误,符合题意;C、此弦不能是直径,命题错误,符合题意;D、相等的圆心角指的是在同圆或等圆中,此命题错误,符合题意;故选:BCD
主观题
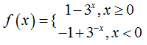
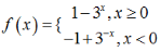
1、已知f(x)是定义在R上的奇函数,且当x>0时,f(x)=1-3x.
(1)求函数f(x)的解析式;
(2)当x∈[2,8]时,不等式
恒成立,求实数a的取值范围.
答 案:(1)
(2)a≥6
解 析:(1)当x<0时,则-x>0, f(-x)=1-3-x
f(x)是奇函数,
f(x)=-f(x)=-1+3-x.
又当x=0时,f(0)=0
∴
(2)由
可得
∵f(x)是奇函数
∴
又f(x)是减函数,
所以
对x∈[2,8]恒成立
令t=log2x,x∈[2,8],则t∈[1,3],
∴t2-at+5≤0对t∈[1,3]恒成立
令g(t)=t2-at+5,t∈[1,3].
∴
解得a≥6.
∴实数a的取值范围为[6,+∞)
2、设函数f(x)=ax3-2bx2+cx+4d(a、b、c、d∈R)图象关于原点对称,且x=1时,f(x)取极小值
(1)求a、b、c、d的值:
(2)当x∈[-1,1]时,图象上是否存在两点,使得过此两点处的切线互相垂直?试证明你的结论:
(3)若x1,x2∈[-1,1]时,求证:
答 案:(1)函数f(x)图象关于原点对称,∴对任意实数x有f(x)=-f(x), ∴-ax3-2bx2-cx+4d=-ax3+2bx2-cx-4d,即bx2-2d=0恒成立
∴b=0,d=0∴f(x)=ax3+cx,f'(x)3ax2+c,
∵x=1时,f(x)取极小值
,∴3a+c=0且
,解得
,c=-1
(2)当x∈[-1,1]时,图象上不存在这样的两点使结论成立.
假设图象上存在两点A(x1,y1)、B(x2,y2),使得过此两点处的切线互相垂直,
则由f’(x)=x2-1,知两点处的切线斜率分别为k1=x12-1.k2=x22-1,
且(x12-1)(x22-1)=-1…(*)
∵x1、x2∈[-1,1],∴x12-1≤0,x22-1≤0,∴(x12-1)(x22-1)≥0
此与(*)相矛盾,故假设不成立.
证明(3)∵f(x)=x2-1,令f’(x)=0.得x=±1,x∈(-∞,-1),
或x∈(1,+∞)时,f’(x)>0;x∈(-1.1)时,f’(x)<0,
∴f(x)在[-1,1]上是减函数,且
∴在[-1,1]上,
填空题
1、
答 案:
解 析:
2、设全集U={1,2,3,4,5,6},集合A={1,3,5},B={2,4},用集合A和集合B表示全集U,则()。
答 案:U=
解 析:U={1,2,3,4,5,6},A={1,3,5},B=(2,4),所以
={2,4,6},
={1,3.5,6},所以
={2,4,6}U{1,3,5,6}={1,2,3,4,5,6}.所以U=
。