2025-12-07 14:43:13 来源:勒克斯教育网
2025年高职单招《数学》每日一练试题12月07日,可以帮助我们积累知识点和做题经验,进而提升做题速度。通过高职单招每日一练的积累,助力我们更容易取得最后的成功。
判断题
1、过点(0,1)且与直线2x-y=0垂直的直线方程的一般式是y=-2x+1。()
答 案:错
2、一篮球运动员在六场比赛中所得到的分数分别为15,16,11,14,12,13,则该运动员所得分数的中位数是14。()
答 案:错
单选题
1、如果b>a>0,那么().



答 案:C
解 析:采用取特殊值法,可知选项C正确.
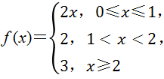
2、函数
的值域是( )
答 案:B
解 析:当0≤x≤1时,0≤2x≤2,即0≤f(x)≤2;当1<x<2时,f(x)=2;当x≥2时,f(x)=3.综上可知f(x)的值域为[0,2]∪{3}.
多选题
1、设{an}(n∈N*)是各项为正数的等比数列,q是其公比,Kn是其前n项的积,且K5K8,则下列选项中成立的是()
- B:a7=1
- C:K9>K5
- D:K6与K7均为Kn的最大值
答 案:ABD
解 析:根据题意,依次分析选项:
对于B,若K6=K7,则a7=
=1,故B正确;
对于A,由K5<K6可得a6=
>1,则q=
∈(0,1),故A正确;
对于C,由{an}是各项为正数的等比数列且q∈(0,1)可得数列单调递减,则有K9<K5,故C错误;
对于D,结合K5<K6,K6=K7>K8,可得D正确.
故选:ABD.
2、已知函数
则下列说法正确的有( )
处的切线方程为 x + y = 0
上,单调递增答 案:AC
解 析:利用奇函数的定义可以判定函数 f (x) 是奇函数,所以选项 A 正确;不存在非零常数T ,使得 f (x + T ) = f (x) ,故 f (x) 不是周期函数,所以选项 B 错误;f (x) 在点
处的切线方程为 x+y=0,所以选项 C 正确; 利用导数可以判定函数 f (x) 在
单调递减,所以选项 D 错误.
主观题
1、在等差数列{an}中,a5=-10,a10=0.
(1)求数列{an}的通项公式;
(2)记数列{an}的前n项和为Sn;
当n为何值时,Sn有最小值?最小值是多少?
答 案:(1)设等差数列{an}的公差为d, 则
解得
因此,数列{an}的通项公式为an=-18+2(n-1),即an=2n-20
(2)由等差数列的前n项和公式
得
所以当n=9或n=10时,Sn有最小值-90
2、已知函数f(x)=aex﹣lnx﹣1.
(1)设x=2是f(x)的极值点,求a,并求f(x)的单调区间;
(2)证明:当a≥
时,f(x)≥0.
答 案:解:(1)∵函数f(x)=aex-lnx-1. ∴x>0,f′(x)=aex-
,
∵x=2是f(x)的极值点,
∴f′(2)=ae2-
=0,解得a=
,
∴f(x)=
ex-lnx-1,
∴f′(x)=
,显然f′(x)在(0,+∞)上单调递增,
∴当0<x<2时,f′(x)<0,当x>2时,f′(x)>0,
∴f(x)在(0,2)单调递减,在(2,+∞)单调递增.
(2)证明:当a≥
时,f(x)≥
-lnx-1,
设g(x)=
-lnx-1,则
,
由
=0,得x=1,且g’(x)在(0,+∞)上单调递增,
当0<x<1时,g′(x)<0,
当x>1时,g′(x)>0,
∴x=1是g(x)的极小值点,也是最小值点,
故当x>0时,g(x)≥g(1)=0,
∴当a≥
时,f(x)≥0.
填空题
1、若曲线 y=x2-1 的一条切线平行于直线 y=4x-3,则这条切线的方程为________.
答 案:4x-y-5=0
解 析:y′=2x,设切点为
则由题意可知,
所以
代入曲线方程得
故该切线过点(2,3)且斜率为 4,所以这条切线方程为 y-3=4(x-2),即 4x-y-5=0.
2、已知一元二次不等式
的解集是(-2,4),则mn=().
答 案:
解 析:二次方程
的两个解分别为x1=-2,x2=4,用根与系数关系可得
,解得
,n=-1,所以