2025-11-29 15:54:38 来源:勒克斯教育网
2025年高职单招《数学(中职)》每日一练试题11月29日,可以帮助我们积累知识点和做题经验,进而提升做题速度。通过高职单招每日一练的积累,助力我们更容易取得最后的成功。
单选题
1、已知函数f(x)=ax+b的图象如图所示,则g(x)=loga(x+b)的大致图象是()




答 案:D
解 析:根据函数f(x)=ax+b的图象可知,00,故y=logax在(0,+∞)上单调递减,图象经过(1,0)点.g(x)=loga(x+b)的图象是将y=logax的图象沿x轴向左平移b(b>0)个单位可得到,符合条件的选项是D.
2、“2a=2b”是“In a=In b”的()
答 案:B
解 析:

3、已知二次函数f(x)=x2+ax+1,且f(1)=f(3),则a=()
答 案:A
解 析:因为f(1)=f(3),所以函数f(x)图像的对称轴为直线
主观题
1、已知
答 案:方法一:矢量图表示法 矢量图表示法如图所示。
方法二:矢量表示法
解 析:


填空题
1、不等式
的解集是()
答 案:(-1,3)
解 析:
的解集是
(-1,3)
2、
()
答 案:
解 析:


3、某创新企业为了解新研发的一种产品的销售情况,从编号为001,002,…,480的480个专卖店销售数据中,采用系统抽样的方法抽取一个样本,若样本中的个体编号依次为 005,021,…,则样本中的最后一个个体编号是()
答 案:469
解 析:易得编号间隔为021-005=16,所以样本容量为
所以样本中第k个数据的编号为005+16(k-1),1≤k≤30且
所以样本中的最后一个个体的编号为005+16x(30-1)= 469.
简答题
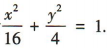
1、已知椭圆
的离心率为
,短轴长为 4.(1)求椭圆的标准方程;
(2)过点P(2,1)作椭圆C的弦,若弦被P平分,求此弦所在直线的方程.
答 案:(1)由题意知
,2b = 4,a2=b2+c2 所以a=4,b=2,
所以椭圆的标准方程为
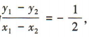
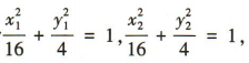
(2)设以点 P(2,1)为中点的弦与椭圆交于A(x1,y1),B(x2,y2)两点,则x1+x2= 4,y1+y2= 2.
因为
两式相减得(x1+x2)(x1-x2)+4(y1+y2)(y1-y2)= 0,
所以4(x1-x2)+8(y1-y2)= 0,
所以直线 AB 的斜率为
所以所求直线的方程为
,即x+2y-4=0.