2025-11-28 14:40:20 来源:勒克斯教育网
2025年高职单招《数学》每日一练试题11月28日,可以帮助我们积累知识点和做题经验,进而提升做题速度。通过高职单招每日一练的积累,助力我们更容易取得最后的成功。
判断题
1、平面向量的加法运算遵循三角形法则。()
答 案:错
解 析:平面向量的加法运算遵循平行四边形法则和三角形法则。
2、奇函数的图像关于y轴对称。()
答 案:错
解 析:奇函数原点对称,所以错误
单选题
1、设
,则下列s与t的关系中正确的是()。




答 案:C
解 析:∵t=a+2b,s=a+b2+1,
∴s-t=(a+b2+1)-(a+2b)=b2-2b+1=(b-1)2≥0,
∴s≥t.
本题是一道关于代数式的比较大小的题目,分析题意,尝试利用作差法进行解答;
根据题意,分析t和s的表达式,可用s减去t,进行整理可得b2-2b+1;
接下来,利用完全平方的和平方项的非负性即可解答本题
2、已知数列的通项公式为
,下列命题正确的是()
答 案:A
解 析:
多选题
1、已知点P到圆O上的点的最大距离是7cm,最小距离是1m,则圆O的半径是()
答 案:AB
2、下列说法不正确的是()
答 案:BCD
解 析:A、根据圆的轴对称性可知此命题正确,不符合题意;B、等弧指的是在同圆或等圆中,能够完全重合的弧.而此命题没有强调在同圆或等圆中,所以长度相等的两条弧,不一定能够完全重合,此命题错误,符合题意;C、此弦不能是直径,命题错误,符合题意;D、相等的圆心角指的是在同圆或等圆中,此命题错误,符合题意;故选:BCD
主观题
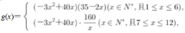
1、某旅游景点预计2017年1月份起前x个月的旅游人数的和p(x)(单位:万人)与x的关系近似地满足p(x)=
x(x+1)(39-2x)(x∈N*,且x≤12).已知第x个月的人均消费额q(x)(单位:元)与x的近似关系是
(1)写出2017年第x个月的旅游人数f(x)(单位:人)与x的函数关系式;
(2)试问2017年第几个月旅游消费总额最大?最大月旅游消费总额为多少元?
答 案:解:(1)当x=1时,f(1)=p(1)=37,当2≤x≤12,且x∈N*时, f(x)=p(x)-p(x-1)=
x(x+1)(39-2x)-
(x-1)x(41-2x)=-3x2+40x,
验证x=1也满足此式,所以f(x)=-3x2+40x(x∈N*,且1≤x≤12).
(2)第x个月旅游消费总额为
即
①当1≤x≤6,且x∈N*时,
g′(x)=18x2-370x+1400,
令g′(x)=0,解得x=5或x=
(舍去).
当1≤x<5时,g′(x)>0,
当5<x≤6时,g′(x)<0,
∴当x=5时,g(x)max=g(5)=3125(万元).
②当7≤x≤12,且x∈N*时,
g(x)=-480x+6400是减函数,
∴当x=7时,g(x)max=g(7)=3040(万元).
综上,2017年5月份的旅游消费总额最大,最大旅游消费总额为3125万元.
2、设函数f(x)=ax3-2bx2+cx+4d(a、b、c、d∈R)图象关于原点对称,且x=1时,f(x)取极小值
(1)求a、b、c、d的值:
(2)当x∈[-1,1]时,图象上是否存在两点,使得过此两点处的切线互相垂直?试证明你的结论:
(3)若x1,x2∈[-1,1]时,求证:
答 案:(1)函数f(x)图象关于原点对称,∴对任意实数x有f(x)=-f(x), ∴-ax3-2bx2-cx+4d=-ax3+2bx2-cx-4d,即bx2-2d=0恒成立
∴b=0,d=0∴f(x)=ax3+cx,f'(x)3ax2+c,
∵x=1时,f(x)取极小值
,∴3a+c=0且
,解得
,c=-1
(2)当x∈[-1,1]时,图象上不存在这样的两点使结论成立.
假设图象上存在两点A(x1,y1)、B(x2,y2),使得过此两点处的切线互相垂直,
则由f’(x)=x2-1,知两点处的切线斜率分别为k1=x12-1.k2=x22-1,
且(x12-1)(x22-1)=-1…(*)
∵x1、x2∈[-1,1],∴x12-1≤0,x22-1≤0,∴(x12-1)(x22-1)≥0
此与(*)相矛盾,故假设不成立.
证明(3)∵f(x)=x2-1,令f’(x)=0.得x=±1,x∈(-∞,-1),
或x∈(1,+∞)时,f’(x)>0;x∈(-1.1)时,f’(x)<0,
∴f(x)在[-1,1]上是减函数,且
∴在[-1,1]上,
填空题
1、盒中有3个白球和5个红球,任意取出一个球,取出的是红球的概率为_______
答 案:p=5/8
2、若
,则f(8)=_____。
答 案:16