2025-11-18 14:43:51 来源:勒克斯教育网
2025年高职单招《数学》每日一练试题11月18日,可以帮助我们积累知识点和做题经验,进而提升做题速度。通过高职单招每日一练的积累,助力我们更容易取得最后的成功。
判断题
1、某人参加射击比赛,一次射击命中的环数为{偶数环}是随机事件。()
答 案:对
解 析:在随机试验中,可能出现也可能不出现,而在大量重复试验中具有某种规律性的事件叫做随机事件
2、0属于空集。()
答 案:错
解 析:0不是空集,含有元素0,所以不是空集。
单选题
1、用1,2,3,4四个数字组成恰有两个相同数字的四位偶数的个数是()
答 案:A
2、函数f(x)=4x-2的零点是()
答 案:A
解 析:f(x)=4x-2,当x等于0时,x=1/2,故选A。
多选题
1、已知等差数列{an}的前n项和为
,公差为d,则()

答 案:ABD
2、已知函数
关于函数f(x)的结论正确的是( )

答 案:AC
解 析:当x≤-1时,f(x)的取值范围是(-∞,1],当-1<x<2时,f(x)的取值范围是[0,4),因此f(x)的值域为(-∞,4),故A正确;当x=1时,f(1)=12=1,故B错误;当x≤-1时,由x+2=3,解得x=1(舍去),当-1<x<2时,由x2=3,解得x=或x=-(舍去),故C正确;当x≤-1时,由x+2<1,解得x<-1,当-1<x<2时,由x2<1,解得-1<x<1,因此f(x)<1的解集为(-∞,-1)∪(-1,1),故D错误.故选AC.
主观题
1、已知函数f(x)=(ax+b)lnx. (1)当a=1,b=0时,求函数y=f(x)的极值; (2)当a=1,b=1时,求不等式f(x)≥2x-2的解集; (3)当a=1,b=1时,若当x∈(1,+∞),恒有f(x)>λ(x-1)成立,求实数λ的取值范围.
答 案:(1)当a=1,b=0,f(x)=xlnx,f'(x)=1+lnx,定义域(0,+∞) 令f'(x)=1+lnx=0,得
.
列表如下:
∴当
时,f(x)有极小值
,无极大值;
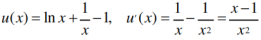
(2)当a=1,b=1,f(x)=(x+1)·lnx
令F(x)=f(x)-(2x-2)=(x+1)·lnx-(2x-2)
令
列表如下:
当x=1时,u(x)有极小值u(1)=ln1+1-1=0∴u(x)≥0,即F'(x)≥0
∴F(x)在(0,+∞)单调递增,F(1)=0,故不等式f(x)≥2x-2即F(x)≥0=F(1),故解集为[1,+∞);
(3)当a=1,b=1,f(x)=(x+1)·lnx,当x∈(1,+∞),恒有f(x)>λ(x-1)成立,即x∈(1,+∞),恒有f(x)-λ(x-1)>0成立.
令G(x)=f(x)-λ(x-1)=(x+1)lnx-λ(x-1)
令
x∈(1,+∞),∴v’(x)>0,∴v(x)在(1,+∞)单调递增,∴v(x)>v(1)=2-λ
①若2-λ≥0,即λ≤2,v(x)>0,即G'(x)>0,即G(x)在(1,+∞)单调递增.
∵x∈(1,+∞)∴G(x)>G(1)=0成立.
即λ≤2时,当x∈(1,+∞),恒有f(x)>λ(x-1)成立.
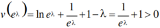
②若2-λ<0,即λ>2,取x=eλ>1
V(x)在(1,+∞)单调递增,∴
,使得v(x0)=0,
∵当x∈(1,x0),v(x)<0,即G'(x)<0,
∴G(x)在(1,x0)上单调递减∵G(x0)<G(1)=0,
∴当x∈(1,+∞)时,G(x)>0不恒成立,即f(x)>λ(x-1)不恒成立.
综上:λ≤2.
2、设t≠0,点P(t,0)是函数f(x)=x3+ax与g(x)=bx2+c的图象的一个公共点,两函数的图象在点P处有相同的切线 (I)用t表示a,b,c; (II)若函数y=f(x)-g(x)在(-1,3)上单调递减,求t的取值范围.
答 案:(1)因为函数f(x),g(x)的图象都过点(t,0),所以f(t)=0,即t3+at=0.因为t≠0,所以a=-t2.g(t)=0.即bt2+c=0.所以c=ab 又因为f(x),g(x)在点(t,0)处有相同的切线,所以f’(t)=g’(t)
而f’(x)=3x2+a,g’(x)=2bx,所以3t2+a=2bt.
将a=-t2代入上式得b=t.因此c=ab=-t3.故a=-t2,b=t,c=-t3
(Ⅱ)解法一:y=f(x)-g(x)=x3-t2x-tx2+t3,y'=3x2-2tx-t2=(3x+t)(x-t).
当y’=(3x+t)(x-t)<0时,函数y=f(x)-g(x)单调递减.
由y'<0,若t>0,则
;若t<0.则
由题意,函数y=f(x)-g(x)在(-1,3)上单调递减,则
.所以t≥3或
.即t≤-9或t≥3.
又当-9<t<3时,函数y=f(x)-g(x)在(-1,3)上单调递减.
所以t的取值范围为(-∞,-9]∪[3,+∞).
解法二:y=f(x)-g(x)=x3-t2x-tx2+t3,y’=3x2-2tx-t2=(3x+t)(x-t)
因为函数y=f(x)-g(x)在(-1,3)上单调递减,且y'=(3x+t)(x-t)是(-1,3)上的抛物线,所以
即
解得t≤-9或t≥3.
所以t的取值范围为(-∞,-9]∪[3.+∞)
填空题
1、抛物线
的焦点坐标是_______,准线方程是_______.
答 案:
2、函数
的定义域为().
答 案:
解 析:要使f(x)有意义,须满足
解得