2025-11-14 14:50:05 来源:勒克斯教育网
2025年高职单招《数学》每日一练试题11月14日,可以帮助我们积累知识点和做题经验,进而提升做题速度。通过高职单招每日一练的积累,助力我们更容易取得最后的成功。
判断题
1、三点确定一个平面。()
答 案:错
解 析:三点确定一个平面,显然不正确,当三点共线,不能确定一个平面.
2、设集合A={a,b,c},B={c,d},则AUB={a,b,c,d}。()
答 案:对
解 析:AUB为集合A和集合B合并到一起
单选题
1、若
,则下列不等式中恒成立的是()




答 案:A
2、吗某机械厂2016年的产值为100万元,预计每年以5%的幅度递增,则该厂到2020年的预计产值(万元)是()




答 案:C
多选题
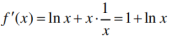
1、已知函数 f(x)的定义域为 R,其导函数 f'(x)的图象如图所示,则对于任意 x 1 ,x2∈R(x1≠x 2 ),下列结论正确的是( )


答 案:AD
解 析:由题中图象可知,导函数 f'(x)的图象在 x 轴下方,即 f'(x)<0,且其绝对值越来越小,因此过函数 f(x)图象上任一点的切线的斜率为负,并且从左到右切线的倾斜角是越来越大的钝角,由此可得 f(x)的大致图象如图所示.
A 选项表示 x 1 -x2与 f(x1 )-f(x2 )异号,即 f(x)图象的割线斜率
为负,故 A 正确;B 选项表示 x 1 -x2与 f(x1 )-f(x2 )同号,即 f(x) 图象的割线斜率
为正,故 B 不正确;
对应的函数值,即图中点 B 的纵坐标
时所对应的函数值的平均值,即图中点 A 的纵坐标,显然有
故 C 不正确,D 正确.故选 AD.
2、函数 y=cos(2x+1)的导数是()
答 案:C
解 析:函数的导数 y′=—sin(2x+1)(2x+1)′=—2sin(2x+1), 故选:C
主观题
1、已知函数
的图像在点
处的切线方程为y=2x+1.
(Ⅰ)求实数a,b 的值;
(Ⅱ)设
.
(ⅰ)求实数的最大值;
(ⅱ)当m取最大值时,是否存在点Q ,使得过点Q的直线能与曲线y=g(x)围成两个封闭图形,则这两个封闭图形的面积总相等?若存在,求出点Q的坐标;若不存在,说明理由.
答 案:解:(Ⅰ)由
及题设得
即
. (Ⅱ)(ⅰ)由 (Ⅰ)得
,
∵ g(x)是上的增函数,
∴g’(x)≥0在 上恒成立,
即
在上恒成立.
设(2x-1)2=t ,则t∈[1,+∞) ,
即不等式
在t∈[1,+∞)上恒成立,
所以2m≤t2+t在[1,+∞)上恒成立.
令y=t2+t,t∈[1,+∞),可得ymin=2,故m的最大值为1 .
(ⅱ)由(ⅰ)得 ,g(x)=
,
将函数g(x)的图像向左平移
个长度单位,再向下平移
个长度单位,所得图像相应的函数解析式为
.
由于h(-x)=-h(x),
所以h(x)为奇函数,故h(x) 的图像关于坐标原点成中心对称.
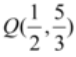
由此即得,函数g(x)的图像关于点
成中心对称.
这也表明,存在点
,是得过点Q的直线若能与函数g(x)的图像围成两个封闭图形,则这两个封闭图形的面积总相等.
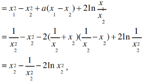
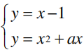
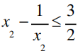
2、已知函数f(x)=xlnx,g(x)=x2+ax(a∈R)
(1)设f(x)图象在点(1,0)处的切线与g(x)的图象相切,求a的值;
(2)若函数
存在两个极值点x1,x2,且
,求F(x1)-F(x2)的最大值.
答 案:(1)f(x)=xlnx,
所以f(x)图象在点(1,0)处的切线的斜率为f'(1)=1,
所以f(x)图象在点(1,0)处的切线方程为y=x-1,
联立
,消去y并整理得x2+(a-1)x+1=0,
依题意可得△=(a-1)2-4=0,解得a=3或-1.
(2)
,
依题意可得x1,x2是F'(x)=0,即2x2+ax+2=0的两个正实根,
所以
,x1x2=1,
不妨设0<x1<1<x2,则当x1<x<x2时,2x2+ax+2<0,则F'(x)<0,F(x)在(x1,x2)上单调递减,则F(x1)>F(x2),
所以|F(x1)-F(x2)|=F(x1)-F(x2)=21nx1+x12+ax1-21nx2-x22-ax2
令t=x22,则t>1,
又
,所以
,即2x22-3x2-2≤0,解得1<x2≤2,所以1<t≤4,
设
,则
,
所以h(t)在[1,4]上单调递增,所以当t=4时,h(t)取得最大值
即F(x1)-F(x2)的最大值为
填空题
1、设Sn,是等差数列{an}的前n项和,
答 案:1
解 析:由等差数列的性质,可得a1+a9=2a5,a1+a5=2a3,所以

2、平面上A(-2,1),B(1,4),D(4,-3),C点满足
,连接DC并延长至E,使
,则点E坐标为________
答 案: