2025-10-10 16:42:45 来源:勒克斯教育网
2025年高职单招《电子类》每日一练试题10月10日,可以帮助我们积累知识点和做题经验,进而提升做题速度。通过高职单招每日一练的积累,助力我们更容易取得最后的成功。
判断题
1、磁极之间的相互作用的磁力不是在磁极之间直接发生,而是通过磁场传递的。()
答 案:对
2、若计算式中得出电流为负值,则说明电流的实际方向与参考方向相同。()
答 案:错
单选题
1、触发器与组合逻辑电路相比较()
答 案:C
2、在测量高电压时务必要注意人身安全,应先将()表笔固定接在被测电路的电位上。()
答 案:C
多选题
1、计数器主要逻辑功能有()
答 案:AB
2、关于磁感应强度和磁场强度各自特性,叙述正确的有()
答 案:BD
主观题
1、简述“安培定则”来判定直线电流所产生的磁场方向和环形电流产生的磁场方向的方法。
答 案:直线电流所产生的磁场方向可用安培定则来判定,方法是:用右手握住导线,让拇指指向电流方向,四指所指的方向就是磁感线的环绕方向。 环形电流的磁场方向也可用安培定则来判定,方法是:让右手弯曲的四指和环形电流方向一致,伸直的拇指所指的方向就是导线环中心轴线上的磁感线方向。
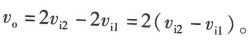
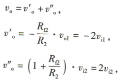
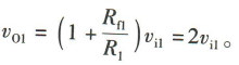
2、试写出如图4所示电路的运算关系,已知R1=R2=Rf1=Rf2。
答 案:第一运放为同相比例运放:
第二运放为差分输入减法器,运用叠加原理:
所以
填空题
1、由A、B两个开关并联控制一个电灯Y,电灯的亮否与开关通断的对应关系属于()的逻辑,逻辑表达式为()。
答 案:或,Y=A+B
2、在计数器中,若各触发器的时钟脉冲不是同一个,各触发器状态的更新有先有后,这种计数器称为()
答 案:异步计数器