2025-10-04 17:32:51 来源:勒克斯教育网
2025年高职单招《机械基础》每日一练试题10月04日,可以帮助我们积累知识点和做题经验,进而提升做题速度。通过高职单招每日一练的积累,助力我们更容易取得最后的成功。
判断题
1、平面弯曲的梁,横截面上的最大正应力,发生在离中性轴最远的上、下边缘点上。()
答 案:对
解 析:根据
可知,横截面上的最大正应力,发生在离中性轴最远的上、下边缘点上。故正确。
2、与液压传动相比,气压传动的工作介质是空气,取之不尽,成本低。()
答 案:对
解 析:气压传动的工作介质是空气,所以便于得到且成本低。故正确。
单选题
1、链传动中,链节数选择偶数的原因是()
答 案:D
解 析:一般链条节数为偶数以避免使用过渡链节,过渡链节在传动过程中要承受弯矩作用,对传动不利。故D正确。
2、槽轮机构的主动件是()
答 案:B
解 析:槽轮机构的主动件是拨盘。故B正确。
主观题
1、绘制变量泵、单向旋转变量泵、单向旋转定量泵、双向旋转变量泵的图形符号。
答 案:变量泵、单向旋转变量泵、单向旋转定量泵、双向旋转变量泵的图形符号分别如图甲、乙、丙、丁所示。
2、某传动装置中有一对渐开线标准直齿圆柱齿轮(正常齿),小齿轮的齿数z1=28,齿顶圆直径da1=90mm,中心距a=135mm。试计算模数m、大齿轮的齿数z2、齿顶圆直径da2、齿根圆直径df2以及基圆直径db2。(cos20°=0.94,sin20°=0.34)
答 案:由da1=m(z1+2h*a)可得,
由
可得
da2=m(z2+2h*a)=3×(62+2)mm=192mm,
df2=m(z2-2h*a-2c*)=3×(62-2.5)mm=178.5mm,
db2=mz2cosα=3×62×0.94mm=174.84mm。
填空题
1、单排滚子链由()、()、()、()和()等组成。
答 案:内链板,外链板,销轴,套筒,滚子
解 析:单排滚子链由内链板、外链板、销轴、套筒和滚子组成。
2、柱塞泵分为()和()。
答 案:轴向柱塞泵,径向柱塞泵
解 析:柱塞泵分为轴向柱塞泵和径向柱塞泵。
简答题
1、中径
答 案:螺纹的中径是指一个假想圆柱的直径,该圆柱的母线通过牙型上沟槽和凸起宽度相等的地方。
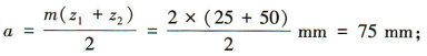
2、已知一对标准直齿圆柱齿轮的m=2mm,α=20°,z1=25,z2=50。 (1)如果n1=960r/min,求n2; (2)求中心距a和齿距p。(结果保留2位小数)
答 案:(1)由
,可得
所以n2=480r/min。
(2)中心距
齿距p=πm=3.14×12mm=6.28mm。