2025年高职单招《电子电工类》每日一练试题10月04日

2025-10-04 16:42:51 来源:勒克斯教育网

课程 题库
分享到空间 分享到新浪微博 分享到QQ 分享到微信

2025年高职单招《电子电工类》每日一练试题10月04日,可以帮助我们积累知识点和做题经验,进而提升做题速度。通过高职单招每日一练的积累,助力我们更容易取得最后的成功。

判断题

1、设置合适的静态工作点是为了减小放大电路的非线性失真。()

答 案:对

2、3/8线译码器电路是3位8进制译码器。()

答 案:错

单选题

1、直流放大电路产生零点漂移的主要原因是(    )  

  • A:环境温度变化                     
  • B:电压增益太大
  • C:采用直接耦合方式                 
  • D:采用阻容耦合方式

答 案:A

2、石英晶体振荡器的频率稳定度很高是因为()  

  • A:低的Q值
  • B:高的Q值
  • C:小的接入系数
  • D:大的电阻

答 案:B

多选题

1、一个16选1的数据选择器,其选择控制(地址)输入端有     个,数据输入端有 个,输出端有       个。(   )  

  • A:1                               
  • B:2                              
  • C:4                               
  • D:16

答 案:CDA

2、电路通电测试,当IC1的输出为低电平时,VD1、VD2同时发光,无法正确指示快充与慢充状态,可能的原因有(多选)  

  • A:R1阻值偏大
  • B:R1阻值偏小
  • C:R阻值偏小
  • D:R:阻值偏大

答 案:AC

主观题

1、如下图所示电路中,R1=R2=R3=2Ω,R4=4Ω,U=6V,求在开关S断开和闭合时,分别通过电阻R1的电流和电功率。  

答 案:(1)S断开,0.75A,1.125W (2)S闭合,1.8A,6.48W  

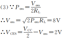
2、下图为一个未画全的功率放大电路,R=8Ω,VCC=20V。要求: (1)画上三极管T₁~T₄ 的发射极箭头,使之构成一个完整的准互补OTL 功率放大电路; (2)说明D₁、D₂、R₃和 C₂ 的作用; (3)已知电路的最大输出功率Pom=4W,估算T₃、T₄ 管集电极一发射极的最小管压降 VCES  

答 案:解:(1)T1、T3 为 NPN型,且发射极在下;T2为 PNP型,发射极在上, T4为 NPN型,发射极在下。 (2)D1、D2、R3是给 T1 ~T4提供合适的静态偏置, 以克服交越失真;C2为大容量的电解电容,一方面起信号耦合作用,同时充电后作为 T2 、T4 的电源。  

填空题

1、单相桥式整流电路中,负载电阻为100Ω,输出电压平均值为10V,则流过每个整流二极管的平均电流为()A,流过负载电阻的平均电流为()A。  

答 案:0.05;0.1

2、在右上图所示电路中,采用稳压管进行          补偿作用,那么对稳压管的电压温度系数的要求是            

答 案:温度    正温度系数

温馨提示:因考试政策、内容不断变化与调整,本站提供的以上信息仅供参考,如有异议,请考生以权威部门公布的内容为准!
备考交流
单招真题交流3群
扫一扫或点击二维码入群
猜你喜欢
换一换
阅读更多内容,狠戳这里