2025-09-14 16:14:15 来源:勒克斯教育网
2025年高职单招《通用技术》每日一练试题09月14日,可以帮助我们积累知识点和做题经验,进而提升做题速度。通过高职单招每日一练的积累,助力我们更容易取得最后的成功。
判断题
1、环境污染中的白色污染是指由纸质废弃物和塑料废弃物造成的污染。()
答 案:错
解 析:白色污染是对废塑料污染环境现象的一种形象称谓。它是指用聚苯乙烯、聚丙烯、聚氯乙烯等高分子化合物制成的塑料制品使用后被弃置,成为固体废物,难于降解,给生态环境和景观造成的污染。
2、IP地址是唯一标识出主机所在网络及其网络中位置的编号,而不是主机在互联网的唯一标识。()
答 案:对
单选题
1、弹簧发生形变时弹力的大小与弹簧的伸长(或缩短)的程度成正比,这个规律是发现的。()
答 案:D
解 析:这个规律是英国科学家胡克发现的,叫胡克定律。
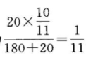
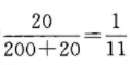
2、有甲、乙两个瓶子,甲瓶里装了200毫升清水,乙瓶里装了200毫升纯酒精。第一次把20毫升纯酒精由乙瓶倒入甲瓶,第二次把甲瓶中20毫升溶液倒回乙瓶,此时甲瓶里纯酒精的含量()乙瓶里水的含量。
答 案:B
解 析:甲瓶里纯酒精的含量为
,乙瓶里水的含量为
,则甲瓶里纯酒精的含量等于乙瓶里水的含量。故选B。
多选题
1、少穿化纤,多穿天然纤维材料的衣服有益于人体健康。下面属于天然纤维的有()
答 案:ABD
解 析:冰丝其实就是黏胶纤维的外号66.黏胶纤维又分为黏胶长丝和黏胶短纤,黏胶长丝又叫人造丝、冰丝。
2、GPS地面控制系统的组成部分有()。
答 案:ABD
解 析:全球定位系统由三部分构成:①地面控制部分,地面控制系统由监测站、主控制站、地面天线所组成,主控制站位于美国科罗拉多州春田市。地面控制站负责收集由卫星传回之讯息,并计算卫星星历、相对距离,大气校正等数据;②空间部分,由24颗卫星组成,分布在6个道平面上;③用户装置部分,主要由GPS接收机和卫星天线组成。故选:ABD
主观题
1、该绞肉、灌肠机的尺寸标注850、570、400分别代表的尺寸意义是什么?----、----、----。(选填:长、宽、高)。图中尺寸标注的单位是----米,标注错误的尺寸是----。
答 案:高、长、宽,mm,400
解 析:见答案。
2、两电阻R、R2的阻值分别为2Q和3Ω,串联后通过它们的电流之比是(),它们两端的电压之比是().
答 案:1:1 ; 2:3
解 析:串联电路中电流处处相等,所以通过R1、R2的电流之比是1:1;串联电路各部分电路两端的电压之比等于它们的电阻之比,所以R、R2两端电压之比是2:3。
填空题
1、补充完整该控制系统方框图A处----,B处-----,C处------(在①温度探头;②电源;③加热丝;④微电脑数字温控器中选择合适的选项,)
答 案:④、③、①
解 析:此系统的控制器是微电脑数字温控器,执行器是加热丝,反馈环节是湿度探头。
2、该系统的控制手段和控制方式分别属于_____和_____(选填序号:①手动控制;②自动控制;③开环控制;④闭环控制);
答 案:②、③
解 析:雨刮器能根据雨量大小,自动刮雨,属于自动控制,雨刮器的快慢由输入信号的强弱控制,雨刮器的快慢未反馈到输入端影响控制,属于开环控制系统。